1과목: 데이터 베이스
1. DBMS의 필수 기능 중 데이터베이스를 접근하여 데이터의 검색, 삽입, 삭제, 갱신 등의 연산 작업을 위한 사용자와 데이터베이스 사이의 인터페이스 수단을 제공하는 기능은?
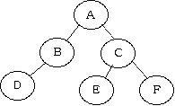
2. 다음 그림에서 트리의 차수(degree of tree)는?
3. 데이터베이스에서 널(null) 값에 대한 설명으로 옳지 않은 것은?
4. 데이터 모델의 구성 요소 중 데이터베이스에 표현될 대상으로서의 개체 타입과 개체 타입들간의 관계를 기술한 것은?
5. 관계대수에 대한 설명으로 옳지 않은 것은?
6. Which of the following is not a property of the transaction to ensure integrity of the data?
7. What are general configuration of indexed sequential file?
8. 데이터베이스에서 하나의 논리적 기능을 수행하기 위한 작업의 단위 또는 한꺼번에 모두 수행되어야 할 일련의 연산들을 의미하는 것은?
9. 다음 문장의 ( )안 내용으로 공통 적용될 수 있는 가장 적절한 내용은 무엇인가?
10. 로킹(Locking)에 대한 설명으로 옳지 않은 것은?
11. 릴레이션의 특징으로 거리가 먼 것은?
12. 다음 자료를 버블 정렬을 이용하여 오름차순으로 정렬할 경우 PASS 2 의 결과는?
13. 시스템 카탈로그(System Catalog)에 대한 옳은 설명 모두를 나열한 것은?
14. 데이터베이스 설계 단계 중 물리적 설계의 옵션 선택시 고려 사항으로 거리가 먼 것은?
15. 데이터베이스 정의에 해당되는 내용을 모두 나열한 것은?
16. 속성(attribute)에 대한 설명으로 옳지 않은 것은?
17. 해싱에서 동일한 홈 주소로 인하여 충돌이 일어나는 경우를 무엇이라고 하는가?
18. 병행제어의 목적으로 옳지 않은 것은?
19. 다음 트리에 대한 중위 순회 운행 결과는?
20. 3NF에서 BCNF가 되기 위한 조건은?
2과목: 전자 계산기 구조
21. 디지털 IC의 특성을 나타내는 중요한 비교 평가 요소가 아닌 것은?
22. 플립플롭에 대한 설명 중 틀린 것은?
23. IEEE754의 부동소수점 표현 방식에서 단일-정밀도 형식에 관한 설명으로 틀린 것은?
24. 메모리에 관한 설명 중 옳지 않은 것은?
25. Flynn이 제안한 병렬 컴퓨터 구조에서 다음그림은 어떤 방식인가? (단, PU: Processing Unit, LM: Local Memory, DS: Data Stream이다.) (문제 오류로 실제 시험장에서는 모두정답 처리 되었습니다. 여기서는 1번을 누르면 정답 처리 됩니다.)
26. 4×2 RAM을 이용하여 16×4 메모리를 구성하고자 할 경우에 필요한 4×2 RAM의 수는?
27. 어떤 제어 기억장치의 단어 길이가 32비트, 마이크로명령어 형식의 연산필드는 12비트, 조건을 결정하는 플래그의 수는 4개일 때, 제어기억장치의 최대 용량은 약 얼마인가? (단, 분기필드는 필요하지 않다고 가정한다.)
28. CPU 클록이 100MHz일 때 인출 사이클(fetch cycle)에 소요되는 시간은? (단, 인출 사이클은 3개의 마이크로 명령어들로 구성된다.)
29. 다음 중 Associative 기억장치의 특징으로 옳은 것은?
30. 주기억장치로부터 캐시 메모리로 데이터를 전송하는 매핑 프로세스 방법이 아닌 것은?
31. 한 단어가 25비트로 이루어지고 총 32768개의 단어를 가진 기억장치가 있다. 이 기억장치를 사용하는 컴퓨터 시스템의 MBR(memory buffer register), MAR(memory address register), PC(program counter)에 필요한 각각의 비트수는?
32. 버스 사용 우선순위를 계속 변경시키는 가변 우선순위 방식의 알고리즘이 아닌 것은?
33. 부호를 포함하여 4비트 크기를 갖는 수를 2의 보수 형식으로 표현할 때 가장 작은 수와 가장 큰 수는 각각 얼마인가?
34. 명령어 파이프라인 단계 수가 4 이고 파이프라인 클록(clock) 주파수가 1MHz일 때, 10개의 명령어들이 파이프라인 기법에서 실현될 경우 소요 시간으로 가장 적합한 것은?
35. 서로 다른 17개의 정보가 있다. 이 중에서 하나를 선택하려면 최소 몇 개의 비트(bit)가 필요한가?
36. 산술 이동(shift)의 경우 8비트로 구성된 레지스터 7번의 내용이 11011001 일 때 SRA 7, 3을 실행하고 난 후의 결과는? (단, SRA 7, 3은 레지스터 7번을 우측으로 산술 이동 3회 수행함을 뜻한다.)
37. 다음 중 채널 명령어(CCW)로 알 수 있는 내용이 아닌 것은?
38. 8진수 256과 542를 더한 결과는?
39. SSD(Solid State Drive)에서 하나의 셀에 3비트의 정보를 저장하는 방식은?
40. 컴퓨터의 중앙처리장치(CPU)는 4가지 단계를 반복적으로 거치면서 동작한다. 4가지 단계에 속하지 않는 것은?
3과목: 운영체제
41. UNIX의 특징이 아닌 것은?
42. 보안 유지 기법 중 하드웨어나 운영체제에 내장된 보안 기능을 이용하여 프로그램의 신뢰성 있는 운영과 데이터의 무결성 보장을 기하는 기법은?
43. 스레드(Thread)에 대한 설명으로 옳지 않은 것은?
44. 분산 처리 운영체제 시스템의 구축 목적으로 거리가 먼 것은?
45. UNIX 파일시스템에서 파일 소유자의 사용자번호 및 그룹 번호, 파일의 보호 권한, 파일 타입, 생성 시기, 파일 링크 수 등 각 파일이나 디렉토리에 대한 모든 정보를 저장하고 있는 블록은?
46. 128개의 CPU로 구성된 하이퍼큐브에서 각 CPU는 몇 개의 연결점을 갖는가?
47. 주기억장치 배치 전략 기법으로 최적 적합방법을 사용할 경우, 다음과 같은 기억장소 리스트에서 10K 크기의 작업은 어느 기억공간에 할당되는가? (단, 탐색은 위에서 아래로 한다.)
48. 시간적 구역성(Temporal locality)과 거리가 먼 것은?
49. 보안 메커니즘 중 합법적인 사용자에게 유형 혹은 무형의 자원을 사용하도록 허용할 것인지를 확인하는 제반 행위로서, 대표적 방법으로는 패스워드, 인증용 카드, 지문 검사 등을 사용하는 것은?
50. 다음 설명에 해당하는 디렉토리는?
51. 분산 운영체제의 구조 중 완전 연결(Fully Connection)에 대한 설명으로 옳지 않은 것은?
52. 운영체제의 성능평가 요인 중 다음 설명에 해당하는 것은?
53. 운영체제의 목적과 거리가 먼 것은?
54. HRN 방식으로 스케줄링 할 경우, 입력된 작업이 다음과 같을 때 우선 순위가 가장 높은 것은?
55. 페이지 교체 기법 중 최근에 사용하지 않은 페이지를 교체하는 기법으로 각 페이지마다 참조 비트와 변형 비트가 사용되는 것은?
56. UNIX의 쉘(Shell)에 관한 설명으로 옳지 않은 것은?
57. 은행원 알고리즘은 교착상태 해결 방법 중 어떤 기법에 해당하는가?
58. FIFO 스케줄링에서의 3개의 작업 도착시간과 CPU 사용시간(burst time)이 다음 표와 같다. 이 때 모든 작업들의 평균 반환시간(turn around time)은? (단, 소수점 이하는 반올림 처리한다.)
59. 운영체제의 운영 기법 중 동시에 프로그램을 수행할 수 있는 CPU를 두 개 이상 두고 각각 그 업무를 분담하여 처리할 수 있는 방식을 의미하는 것은?
60. 4개의 페이지를 수용할 수 있는 주기억장치가 있으며, 초기에는 모두 비어 있다고 가정한다. 다음의 순서로 페이지 참조가 발생할 때, LRU 페이지 교체 알고리즘을 사용할 경우 몇 번의 페이지 결함이 발생하는가?
4과목: 소프트웨어 공학
61. 소프트웨어 형상 관리(Configuration management)의 의미로 가장 적절한 것은?
62. 소프트웨어 프로젝트 관리를 효과적으로 수행하는데 필요한 3P에 해당하지 않는 것은?
63. 소프트웨어 재공학 활동 중 소프트웨어 기능을 변경하지 않으면서 소프트웨어를 형태에 맞게 수정하는 활동으로서 상대적으로 같은 추상적 수준에서 하나의 표현을 다른 표현 형태로 바꾸는 것은?
64. 소프트웨어의 위기현상과 거리가 먼 것은?
65. 다음 중 검증 시험(Validation Test)과 거리가 먼 것은?
66. 다음 중 소프트웨어 개발 영역을 결정하는 요소에 해당하는 항목 모두를 옳게 나열한 것은?
67. 소프트웨어 재사용에 대한 설명으로 옳지 않은 것은?
68. S/W Project 일정이 지연된다고 해서 Project 말기에 새로운 인원을 추가 투입하면 Project는 더욱 지연되게 된다는 내용과 관련되는 법칙은?
69. CASE(Computer-Aided Software Engineering)에 대한 설명으로 옳지 않은 것은?
70. 정형 기술 검토의 지침 사항으로 틀린 것은?
71. 장래의 유지보수성 또는 신뢰성을 개선하거나 소프트웨어의 오류발생에 대비하여 미리 예방수단을 강구해 두는 경우의 유지보수 형태는?
72. 블랙 박스 테스트 기법 중 여러 버전의 프로그램에 동일한 검사 자료를 제공하여 동일한 결과가 출력되는지 검사하는 것은?
73. 객체지향 기법에서 캡슐화(encapsulation)에 대한 설명으로 옳지 않은 것은?
74. 럼바우의 객체지향 분석 기법에서 상태다이어그램을 사용하여 시스템의 행위를 기술하는 모델링은?
75. 두 명의 개발자가 5개월에 걸쳐 10000 라인의 코드를 개발하였을 때, 월별(person-month)생산성 측정을 위한 계산 방식으로 가장 적합한 것은?
76. 시스템의 구성 요소 중 자료를 입력하여 출력될 때까지의 처리 과정이 올바르게 진행되는지 감독하는 것은?
77. 생명주기 모형 중 가장 오래된 모형으로 많은 적용 사례가 있지만 요구사항의 변경이 어렵고 각 단계의 결과가 확인 되어야지만 다음 단계로 넘어갈 수 잇는 선형 순차적, 고전적 생명 주기 모형이라고도 하는 것은?
78. 다음 설명의 ( ) 내용으로 옳은 것은?
79. 소프트웨어 품질목표 중 쉽게 배우고 사용할 수 있는 정도를 나타내는 것은?
80. DFD(data flow diagram)에 대한 설명으로 거리가 먼 것은?
5과목: 데이터 통신
81. RIP(Routing Information Protocol)에 대한 설명으로 틀린 것은?
82. OSI(Open System Interconnection) 7 계층 중 다음 설명에 해당하는 계층은?
83. 효율적인 전송을 위하여 넓은 대역폭(혹은 고속 전송속도)을 가진 하나의 전송링크를 통하여 여러 신호(혹은 데이터)를 동시에 실어 보내는 기술은?
84. 패킷교환의 가상회선 방식과 회선교환 방식의 공통점은?
85. IEEE 802.3 LAN에서 사용되는 전송매체 접속제어(MAC) 방식은?
86. X.25 프로토콜의 계층 구조에 포함되지 않는 것은?
87. 신뢰성 있는 데이터 전송을 위해 사용되는 자동 반복 요구(Automatic Repeat reQuest)방법이 아닌 것은?
88. TCP와 UDP에 대한 설명으로 틀린 것은?
89. 순방향 오류 정정(Forward Error Correction)에 사용 되는 오류 검사 방식은?
90. HDLC(High-level Data Link Control)의 링크 구성 방식에 따른 세 가지 동작모드에 해당하지 않는 것은?
91. B-ISDN/ATM 프로토콜에 있어서 ATM계층의 기능은?
92. IPv4에서 IPv6로의 천이를 위해 IETE에 의해 고안된 전략으로 옳은 것은?
93. HDLC(High level Data Link Control)에 대한 설명이 틀린 것은?
94. 통신사업자의 회선을 임차하여 단순한 전송기능 이상의 부가가치를 부여한 데이터 등 복합적인 서비스를 제공 하는 정보통신망은?
95. 시분할 다중화(Time Division Multiplexing)의 설명으로 틀린 것은?
96. 데이터 전송방식 중 패킷 교환 방식에 대한 설명으로 틀린 것은?
97. TCP/IP 프로토콜에 대한 설명으로 틀린 것은?
98. RTP(Real-time Transport Protocol) 헤더의 각 필드에 대한 설명으로 틀린 것은?
99. 무선 LAN의 매체 접근 제어 방식 중 경쟁에 의해 채널 접근을 제어하는 것은?
100. 디지털 변조에서 디지털 데이터를 아날로그 신호로 변환시키는 키잉(Keying)방식으로 틀린 것은?