1과목: 데이터 베이스
1. 이행적 함수 종속 관계를 의미하는 것은?
2. 다음 SQL 질의를 관계 대수식으로 표현 하면?(단, P는 WHERE 조건절)
3. DML에 해당하는 SQL 명령으로만 짝지어진 것은?
4. Which is the design step of database correctly?
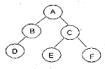
5. 다음 트리를 후위 순회 (Post Traversal)할 경우 가장 마지막에 탐색 되는 것은?
6. 데이터베이스의 특성으로 옳은 내용 모두를 나열한 것은?
7. 릴레이션의 특징으로 옳지 않은 것은?
8. 병행제어의 목적으로 옳지 않은 것은?
9. 데이터 모델에 대한 다음 설명 중 ( ) 안에 들어갈 내용으로 가장 타당한 것은?
10. 개체 - 관계 모델에 대한 설명으로 옳지 않은 것은?
11. 스택의 자료 삭제 알고리즘이다. ( ) 안 내용으로 가장 적합한 것은?(단, Top: 스택포인터, S: 스택의 이름)
12. DBMS의 필수기능 중 사용자와 데이터베이스 사이의 인터페이스 수단을 제공하는 기능은?
13. SQL 구문에서 “having" 절은 반드시 어떤 구문과 사용되어야 하는가?
14. 순차 파일에 대한 설명으로 옳지 않은 것은?
15. 트랜잭션은 자기의 연산에 대하여 전부 (All)또는 전무(Nothing) 실행만이 존재하며, 일부 실행으로는 트랜잭션의 기능을 가질 수 없다는 트랜잭션의 특성은?
16. 로킹(Locking) 단위에 대한 설명으로 옳은 것은?
17. 관계 데이터 모델에서 릴레이션(Relation)에 포함되어 있는 튜플(Tuple)의 수를 무엇이라고 하는가?
18. 다음 초기 자료에 대하여 삽입 정렬 (Insertion Sort)을 이용하여 오름차순 정렬한 경우 1회전후의 결과는?
19. 관계 데이터베이스의 정규화에 대한 설명으로 옳지 않은 것은?
20. 다음 그림에서 트리의 차수(degree)는?
2과목: 전자 계산기 구조
21. 인터럽트 백터에 필수적인 것은?
22. 동기 고정식 마이크로오퍼레이션(MO) 제어의 특징을 설명한 것으로 틀린 것은?
23. 상대 주소모드를 사용하는 컴퓨터에서 분기 명령어가 저장된 기억장치 주소가 256AH일 때, 명령어에 지정된 변위 값이 -75H인 경우 분기되는 주소의 위치는?(단, 분기명령어의 길이는 3바이트이다.)
24. 주소 명령어 형식에 관한 설명으로 틀린 것은?
25. 16진수 80H가 들어 있는 8비트 레지스터에서 0, 2, 4번째 비트를 세트(set)하려면 얼마의 값을 OR 연산 하여야 하는가?
26. 그림과 같은 메모리 IC에 필요한 핀(pin)의 수는?
27. 병렬컴퓨터에서 버스의 클럭 주기가 80ns이고, 데이터 버스의 폭이 8byte라고 할 때, 전송 할수 있는 데이터의 양은?
28. 여러 개의 LAB(Logic Array Block)과 연결선인 PIA(Programmable Interconnection Array)로 구성되며, 빠른 성능이나 정확한 타이밍의 예측의 필요로 하는 곳에 사용되는 것은?
29. 명령을 수행하기 위해 CPU 내의 레지스터와 플래그의 상태 변환을 일으키는 작업은 무엇인가?
30. 8비트로 된 레지스터에서 2의 보수로 숫자를 표시한다면 이 레지스터로 표시할 수 있는 10진수의 범위는?(단, 첫째 비트는 부호 비트로 0,1일 때 각각 양(+),음(-)을 나타낸다고 가정한다.)
31. 부동 소수점인 두 수의 나눗셈을 위한 순서를 올바르게 나열한 것은?
32. 두 데이터의 비교 (Compare)를 위한 논리연산은?
33. 2개 이상의 프로그램을 주기억장치에 기억시키고 CPU를 번갈아 사용하면서 처리하여 컴퓨터 시스템 자원 활용률을 극대화하기 위한 프로그래밍 기법은?
34. 다른 컴퓨터를 이용하여 어셈블리 언어의 프로그램을 이식(porting)하고자 하는 마이크로프로세서의 기계어로 번역하는 프로그램은?
35. 명령어 처리를 위한 마이크로 사이클이 아닌 것은?
36. 그림의 Decoder에서 Y₀ = 0, Y1 = 1이 입력되었을 때 “1”을 출력하는 단자는?
37. 입·출력 제어장치의 종류가 아닌 것은?
38. 논리 마이크로 연산에 있어서 레지스터 A와 B의 값이 다음과 같이 주어졌을 때 selective-set 연산을 수행하면 어떻게 되는가? (단, A는 프로세서 레지스터이고, B는 논리 오퍼랜드이다.)
39. 하나의 명령을 처리하는 과정으로 옳게 나열한 것은?
40. I/O operation과 관계가 없는 것은?
3과목: 운영체제
41. 캐싱(Caching)과 원격서비스의 비교에 대한 설명 중 옳지 않은 것은?
42. 현재 헤드의 위치가 50에 있고 트랙 0번 방향으로 이동하며, 요청 대기 열에는 아래와 같은 순서로 들어 있다고 가정할 때 SSTF(Shortest Seek Time First)스케줄링 알고리즘에 의한 헤드의 총 이동 거리는 얼마인가?
43. 세마포어를 사용해서 상호 배제를 구현할 수 있다. 세마포어를 2로 초기화하였다면, 그 의미는 무엇인가?
44. 적응기법(Adaptive Mechanism)이란 시스템이 유동적인 상태 변화에 적절히 반응하도록 하는 기법을 의미한다. 다음 스케줄링 기법 중 적응 기법의 개념을 적용하고 있는 것은?
45. 10K 프로그램이 할당될 때 주기억장치 관리기법인 First-fit 방법을 적용할 경우 해당하는 영역은?
46. 쉘(shell)의 기능이 아닌 것은?
47. 디렉토리 구조 중 가장 간단한 형태로 같은 디렉토리에 시스템에 보관된 모든 파일 정보를 포함하는 구조는?
48. 모니터에 대한 설명으로 옳지 않은 것은?
49. 분산처리시스템에 대한 설명과 관련 없는 것은?
50. 다음 암호화 기법에 대한 설명으로 틀린 것은?
51. 다음 표는 고정 분할에서의 기억 장치 Fragmentation현상을 보이고 있다. External Fragmentation은 총 얼마인가?
52. 디스크 스케줄링의 목적과 거리가 먼 것은?
53. 프로세서의 상태정보를 갖고 있는 PCB (Process Control Block)의 내용이 아닌 것은?
54. 로더의 종류 중 별도의 로더 없이 언어번역 프로그램이 로더의 기능까지 수행하는 방식은?
55. 분산시스템의 위상에 따른 분류 방식 중 다음 설명에 해당하는 방식은?
56. 인터럽트의 종류 중 컴퓨터 자체 내의 기계적인 장애나 오류로 인하여 발생하는 것은?
57. 데이터의 비밀성을 보장하는데 사용될 수 있는 암호화 알고리즘이 아닌 것은?
58. 시스템 타이머에서 일정한 시간이 만료된 경우나 오퍼레이터가 콘솔상의 인터 럽트 키를 입력한 경우 발생하는 인터럽트는?
59. UNIX 파일 시스템의 블록구조에 포함되지 않은 것은?
60. UNIX에서 파일의 사용 허가를 정하는 명령은?
4과목: 소프트웨어 공학
61. 소프트웨어 재사용에 가장 많이 이용되는 것은?
62. 객체지향 기법의 캡슐화(Encapsulation)에 대한 설명으로 틀린 것은?
63. CASE에 대한 설명으로 옳지 않은 것은?
64. OMA(Object Management Architecture)레퍼런스 모델은 OMG(Object Management Group)의 활동 방향과 목적에 부합하는 모델이다. 다음 중 OMA 레퍼런스 모델의 구성요소가 아닌 것은?
65. 소프트웨어를 개발하기 위한 비즈니스(업무)를 객체와 속성, 클래스와 멤버, 전체와 부분등으로 나누어서 분석해 내는 기법은?
66. 다음 객체지향 기법에 대한 설명에 해당하는 것은?
67. 소프트웨어의 문서(document) 표준이 되었을 때, 개발자가 얻는 이득 으로 가장 거리가 먼 것은?
68. COCOMO(COnstructive COst MOdel) 비용예측 모델에 대한 설명으로 옳지 않은 것은?
69. 소프트웨어 품질 목표 중 하나 이상의 하드웨어 환경에서 운용되기 위해 쉽게 수정될 수 있는 시스템 능력을 의미하는 것은?
70. 다음 중 가, 나에 들어갈 내용으로 옳게 짝지어진 것은?
71. 사용자의 요구사항을 충분히 분석할 목적으로 시스템의 일부분 또는 시제품을 일시적으로 간결히 구현한 다음 다시 요구사항을 반영하는 과정을 반복하는 점진적 개발 생명주기를 갖는 모델은?(문제 오류로 가답안 발표시 4번으로 발표되었지만 확정답안 발표시 2, 4번으로 중복답안 처리 되었습니다. 여기서는 4번을 누르면 정답 처리 됩니다.)
72. 소프트웨어 프로젝트 관리를 효과적으로 수행하는데 필요한 3P와 거리가 먼 것은?
73. 데이터 모델링에 있어서 ERD (Entity Relationship Diagram)는 무엇을 나타내고자하는가?
74. 소프트웨어 재공학 활동 중 기존 소프트웨어의 명세서를 확인하고 소프트웨어의 동적을 이해하고 재공학 대상을 선정하는 것은?
75. 소프트웨어 개발 비용 산정 요소로 알맞지 않은 것은?
76. 소프트웨어 품질 측정에 위해 개발자 관점에서 고려해야 할 항목으로 가장 거리가 먼 것은?
77. 정형 기술 검토(FTR)의 지침 사항으로 옳은 내용 모두를 나열한 것은?
78. 시스템의 기능을 여러 개의 고유 모듈들로 분할하여 이들 간의 인터페이스를 계층구조로 표현한 도형 또는 도면을 무엇이라 하는가?
79. 소프트웨어 위기 발생요인과 거리가 먼 것은?
80. 소프트웨어 개발에서 요구사항 분석 (Requirements Analysis)과 거리가 먼 것은?
5과목: 데이터 통신
81. 디지털 통신망을 구성하는 디지털 교환기 사이에 클록 주파수의 차이가 생기면 데이터의 손실이 발생할 수 있는데 이를 무엇이라 하는가?
82. 하나의 정보를 여러 개의 반송파로 분할하고, 분할된 반송파 사이의 주파수 간격을 최소화하기 위해 직교 다중화해서 전송하는 통신방식으로, 와이브로 및 디지털 멀티미디어 방송 등에 사용되는 기술은?
83. 10.0.0.0 네트워크 전체에서 마스크 값으로 255.240.0.0를 사용할 경우 유효한 서브네트 ID는?
84. 주파수 분할 다중화기(FDM)에서 부채널 간의 상호 간섭을 방지하기 위한 것은?
85. OSI 7계층에서 네트워크 논리적 어드레싱과 라우팅 기능을 수행하는 계층은?
86. 2 out of 5 부호를 이용하여 에러를 검출 하는 방식은?
87. 원천부호화(source coding) 방식에 속하지 않는 것은?
88. 사용 대역폭이 4kHz이고 16진 PSK를 사용한 경우 데이터 신호속도(kbps)는?
89. HDLC 프레임 구성에서 프레임 검사 시퀸스(FCS) 영역의 기능으로 옳은 것은?
90. 블루투스(Bluetooth)의 프로토콜 스택에서 물리 계층을 규정하는 것은?
91. HDLC(High-level Data Link Control) 프레임 형식으로 옳은 것은?




"이다. 이유는 HDLC 프레임 형식에서 Flag(01111110)로 시작과 끝을 나타내며, Control 필드는 프레임의 종류를 나타내는데, 이때 0x03은 Unnumbered Information 프레임을 나타낸다. Information 필드는 데이터를 담는 부분이며, FCS는 오류 검출을 위한 필드이다. 이에 따라 "
"가 옳은 HDLC 프레임 형식이다.92. 전송제어 프로토콜 중 문자 방식 프로토콜에서 전송끝 및 데이더 링크 초기화 부호는?
93. 채널 대역폭이 150[kHz]이고 S/N비가 15일 때 채널용량 [kbps]은?
94. IEEE 802.5 는 무엇에 대한 표준인가?
95. 전송하려는 부호어들이 최소 해밍 거리가 7일때, 수신시 정정할 수 있는 최대 오류의 수는?
96. 프로토콜의 기본 구성 요소가 아닌 것은?
97. 1000BaseT 규격에 대한 설명으로 틀린 것은?
98. HDLC의 ABM(Asynchronous Balanced Mode) 동작모드의 부분집합으로 X.25의 링크 계층에서 사용되는 프로토콜은?
99. 데이터 변조속도가 3600baud이고 퀴드비트 (Quad bit)를 사용하는 경우 전송속도(bps)는?
100. 양자화 스텝수가 5비트이면 양자화 계단수는?