1과목: 데이터 베이스
1. 다음 자료에 대하여 삽입(insertion) 정렬 기법을 사용하여 오름차순으로 정렬하고자 한다. 1회전 후의 결과는?
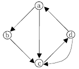
2. What is the quantity of tuples in consist of the relation?
3. 병행제어 기법 중 로킹(Locking) 기법에 대한 설명으로 옳지 않은 것은?
4. 데이터베이스 설계 순서로 옳은 것은?
5. 어떤 릴레이션 R에서 X와 Y를 각각 R의 애트리뷰트 집합의 부분 집합이라고 할 경우 애트리뷰트 X의 값 각각에 대해 시간에 관계없이 항상 애트리뷰트 Y의 값이 오직 하나만 연관되어 있을 때 Y는 X에 함수종속이라고 한다. 이 함수 종속의 표기로 옳은 것은?
6. 데이터베이스의 특성으로 옳지 않은 것은?
7. 데이터 모델의 구성 요소 중 데이터베이스에 표현된 개체 인스턴스를 처리하는 작업에 해당 명세로서 데이터베이스를 조작하는 기본 도구에 해당하는 것은?
8. DBMS의 필수 기능 중 모든 응용프로그램들이 요구하는 데이터 구조를 지원하기 위해 데이터 베이스에 저장될 데이터의 타입과 구조에 대한 정의, 이용방식, 제약조건 등을 명시하는 것은?
9. 다음 트리의 중위 순회 결과는?
10. 시스템 카탈로그에 대한 설명으로 옳지 않은 것은?
11. 병행제어의 목적으로 옳지 않은 것은?
12. 정규화에 관한 설명으로 옳지 않은 것은?
13. 릴레이션의 특징으로 옳은 내용 모두를 나열한 것은?
14. 다음 설명에 해당하는 스키마는?
15. 관계해석에 대한 설명으로 옳지 않은 것은?
16. 순서가 A, B, C, D로 정해진 입력 자료를 스택에 입력하였다가 출력할 때, 가능한 출력 순서의 결과가 아닌 것은?
17. 다음은 무엇에 대한 설명인가?
18. 뷰에 대한 설명으로 옳지 않은 것은?
19. 트랜잭션의 특징 중 트랜잭션이 일단 완료되면 그 후에 어떤 형태로 시스템이 고장 나더라도 트랜잭션의 결과는 잃어버리지 않고 지속되는 것은?
20. 파일조직 기법 중 순차파일에 대한 설명으로 옳지 않은 것은?
2과목: 전자 계산기 구조
21. 블루레이 디스크(Blue-ray Disc)에 관한 설명으로 틀린 것은?
22. 소프트웨어에 의하여 인터럽트의 우선순위를 판별하는 방법은?
23. 모든 명령(Instruction) 수행시 유효 주소를 구하기 위한 메이저 상태를 무엇이라 하는가?
24. 기억장치의 계층 구조 상 접근 속도가 가장 빠른 것은?
25. 부동 소수점 파이프라인의 비교기, 시프터, 가산-감산기, 인크리멘터/디크리멘터가 모두 조합 회로로 구성될 때 네 세그먼트의 시간 지연이 t1=60ns, t2=70ns, t3= 100ns, t4=80ns이고, 중간 레지스터의 지연이 tr=10ns라고 가정하면 클록 사이클은 얼마로 결정되어야 하는가?
26. 오퍼레이터(operator)나 타이머(timer)에 의해 의도적으로 프로그램이 중단된 경우 발생하는 인터럽트(interrupt)는?
27. 하드웨어 특성상 주기억장치가 제공할 수 있는 정보 전달의 능력 한계를 무엇이라 하는가?
28. 하드와이어 방식의 제어장치에 관한설명으로 틀린 것은?
29. 여러 대의 상호 독립적인 동작이 가능한 컴퓨터들이 연결된 전체 컴퓨터들의 집합으로 전체 컴퓨터들이 상호 연결되어 협력하면서 하나의 컴퓨팅 자원인 것처럼 동작하는 것은?
30. 직접메모리엑세스(DMA)장치에 내장된 레지스터가 아닌 것은?
31. 컴퓨터에서 사용된 associative 기억 장치의 특징이 아닌 것은?
32. 데이터 단위가 8비트인 메모리에서 용량이 64KB일 때 어드레스 핀의 개수는?
33. 그림과 같은 8Bit로 구성된 2주소 명령어 구조의 컴퓨터에서 명령어가 21(16)일 때의 니모닉 명령어로 적합한 것은?
34. 하드웨어 신호에 의하여 특정 번지의 서브루틴을 수행하는 것은?
35. 10진수 0.1875를 8진수로 변환하면?
36. 다음 조합 논리회로의 명칭으로 옳은 것은?(단, 입력 변수는 A, B, 출력 변수는 X, Y 이다.)
37. 중앙처리장치는 4가지 단계를 반복적으로 거치면서 동작을 수행하게 되는데 이에 속하지 않는 것은?
38. 응용프로그램이 단일 프로세서 시스템에서 실행되어 완료되기까지 10초가 소용되었다. 같은 응용프로그램이 4개의 프로세서로 구성된 SMP(Symmetric Multiprocessing) 시스템에서 실행하여 완료되기까지 5초가 소요되었다면 속도 향상 지수(Speed-up Factor)는?
39. 다음 마이크로오퍼레이션을 수행하였을 때 계산되는 수식은?(단, 니모닉 명령어의 덧셈은 ADD, 뺄셈은 SUB, 곱셈은 MPY, 나눗셈은 DIV로, 이동은 MOVE로 정의한다.)
40. 캐시 교체 알고리즘에서 최근에 가장 적게 사용된 페이지들을 교체하는 방법은?
3과목: 운영체제
41. 교착상태 해결 방안으로 발생 가능성을 인정하고 교착상태가 발생하려고 할 때, 교착상태 가능성을 피해가는 방법은?
42. 파일 보호 기법 중 다음 설명에 해당하는 것은?
43. 가상기억장치 구현에서 세그먼테이션(Segmentation) 기법의 설명으로 옳지 않은 것은?
44. 주기억장치 배치 전략 기법으로 First Fit 방법을 사용할 경우, 다음과 같은 기억장소 리스트에서 10K 크기의 작접은 어느 영역에 할당되는가?(단, 탐색은 위에서 아래로 한다.)
45. 현재 헤드 위치가 53에 있고 트랙 0번 방향으로 이동 중이다. 요청 대기 큐에는 다음과 같은 순서의 액세스 요청이 대기 중일 때 SSTF 스케줄링 알고리즘을 사용한다면 헤드의 총 이동거리는 얼마인가?
46. 로드(Loader)의 종류 중 별도의 로더 없이 언어번역 프로그램이 로더의 기능까지 수행하며, 연결 기능은 수행하지 않고 할당, 재배치, 적재 작업을 모두 언어번역 프로그램이 담당하는 것은?
47. 3개의 페이지 프레임(Frame)을 가진 기억장치에서 페이지 요청을 다음과 같은 페이지 번호 순으로 요청했을 때 교체 알고리즘으로 FIFO 방법을 사용한다면 몇 번의 페이지 부재(Fault)가 발생하는가?(단, 현재 기억장치는 모두 비어 있다고 가정한다.)
48. 분산 운영체제의 구조 중 완전 연결(Fully Connection)에 대한 설명으로 옳지 않은 것은?
49. 분산 운영체제에서 사용자가 원하는 파일이나 데이터베이스, 프린터 등의 자원들이 지역 컴퓨터 또는 네트워크 내의 다른 원격지 컴퓨터에 존재하더라도 위치에 관계없이 그의 사용을 보장하는 개념은?
50. 운영체제의 목적으로 거리가 먼 것은?
51. RR(Round-Robin) 스케줄링에 대한 설명으로 옳지 않은 것은?
52. UNIX에서 파일의 사용 허가를 지정하는 명령은?
53. 다중 처리기 운영체제 형태 중 주/종(master/slave) 시스템에 대한 설명으로 옳지 않은 것은?
54. 파일 시스템에 대한 설명으로 옳지 않은 것은?
55. UNIX 시스템에서 명령어 해독의 기능을 수행하는 것은?
56. 시분할 시스템(Time Sharing System)에 대한 설명으로 옳지 않은 것은?
57. 사이클이 허용되고, 불필요한 파일제거를 위해 참조카운터가 필요한 디렉토리 구조는?
58. HRN 방식으로 스케줄링 할 경우 입력된 작업이 다음과 같을 때 우선순위가 가장 높은 것은?
59. 스레드(Thread)에 대한 설명으로 거리가 먼 것은?
60. UNIX이 특징으로 옳지 않은 것은?
4과목: 소프트웨어 공학
61. 한 모듈내의 각 구성 요소들이 공통의 목적을 달성하기 위하여 서로 얼마나 관련이 있는지의 기능적 연관의 정도를 나타내는 것은?
62. 소프트웨어 재공학 활동 중 기존 소프트웨어를 다른 운영체제나 하드웨어 환경에서 사용할 수 있도록 변환하는 작업은?
63. 소프트웨어 위기 발생 요인과 거리가 먼 것은?
64. 소프트웨어 품질 목표 중 사용자의 요구 기능을 충족시키는 정도를 의미하는 것은?
65. 시스템의 구성 요소 중 입력된 데이터를 처리방법과 조건에 따라 처리하는 것을 의미하는 것은?
66. 객체 지향 기법에서 하나 이상의 유사한 객체들을 묶어서 하나의 공통된 특성을 표현한 것을 무엇이라고 하는가?
67. 유지보수의 종류 중 소프트웨어 수명 기간 중에 발생하는 하드웨어, 운영체제 등 환경의 변화를 기존의 소프트웨어에 반영하기 위하여 수행하는 것은?
68. 검증(Validation) 검사 기법 중 개발자의 장소에서 사용자가 개발자 앞에서 행해지며, 오류와 사용상의 문제점을 사용자와 개발자가 함께 확인하면서 검사하는 기법은?
69. 객체지향 시스템에서 자료부분과 연산(또는 함수) 부분 등 정보처리에 필요한 기능을 한 테두리로 묶는 것을 무엇이라고 하는가?
70. 정형 기술 검토(FTR)의 지침 사항으로 거리가 먼 것은?
71. 프로젝트 계획 수립시 소프트웨어 범위(Scope) 결정의 주요 요소로 거리가 먼 것은?
72. 바람직한 모듈의 설계 지침이 아닌 것은?
73. 자료 흐름도의 요소 중 다음 설명에 해당하는 것은?
74. 제어흐름 그래프가 다음과 같을 때 McCabe의 cyelomatic 수는 얼마인가?
75. 화이트 박스 검사 기법에 해당하는 것으로만 짝지어진 것은?
76. 소프트웨어 재사용과 관련하여 객체들의 모임, 대규모 재사용 단위로 정의되는 것은?
77. CPM(Critical Path Method)에 대한 설명으로 옳지 않은 것은?
78. 럼바우의 분석 기법에서 다음 설명에 해당하는 것은?
79. 브룩스(Brooks)의 법칙에 해당하는 것은?
80. CASE(Computer Aided Software Engineering)에 대한 설명으로 옳지 않은 것은?
5과목: 데이터 통신
81. 비동기 전송에 대한 설명으로 틀린 것은?
82. 다음 중 데이터 링크 제어 프로토콜과 이를 제정한 국제기구가 옳게 연결된 것은?
83. 인터넷 프로토콜로 사용되는 TCP/IP의 계층화 모델 중 Transport 계층에서 사용되는 프로토콜은?
84. 디지털 데이터를 아날로그 신호로 부호화(encoding) 하는 방식은?
85. 다음 설명에 해당하는 오류 검출 기법은?
86. 문자 동기 전송방식에서 데이터 투명성(Data Transparent)을 위해 삽입되는 제어문자는?
87. 슬라이딩 윈도우(Sliding window) 제어방식에 대한 설명으로 옳지 않은 것은?
88. 다음이 설명하고 있는 라우팅 프로토콜은?
89. HDLC 프레임 중 전송되는 정보프레임에 대한 흐름 제어와 오류 제어를 위해 사용되는 것은?
90. 다음 설명에 해당하는 OSI 7계층은?
91. IP 프로토콜에서는 오류 보고와 오류 수정 기능, 호스트와 관리 질의를 위한 메커니즘이 없기 때문에 이를 보완하기 위해 설계된 것은?
92. HDLC 프레임의 시작과 끝을 정의하는 것은?
93. 데이터 통신 회선의 이용방식에 의한 분류에 포함되지 않는 것은?
94. TCP 프로토콜을 사용하는 응용 계층의 서비스가 아닌 것은?
95. PAP(Password Authentication Protocol) 패킷과 CHAP(Challenge Handshake Authentication Protocol) 패킷은 PPP 프레임의 어느 필드 값에 의해 구별되는가?
96. 다음과 같은 기능을 가지고 있는 프로토콜은?
97. 다음이 설명하는 프로토콜은?
98. 여러 제어에 사용되는 자동반복 요청(ARQ) 기법이 아닌 것은?
99. 다음이 설명하고 있는 것은?
100. 다음 그림과 같은 전송 방식으로 옳은 것은?
1회전에서는 첫 번째 원소인 4가 이미 정렬된 상태이므로 그대로 둔다. 두 번째 원소인 5는 4보다 크므로 그대로 둔다. 세 번째 원소인 3은 4보다 작으므로 4와 위치를 바꾼다. 이제 배열은 [3, 4, 5, 2, 1]이 된다. 네 번째 원소인 2는 5보다 작으므로 5와 위치를 바꾼다. 그리고 4보다 작으므로 4와 위치를 바꾼다. 마지막으로 3보다 크므로 3과 위치를 바꾼다. 따라서 1회전 후의 결과는 "4, 5, 3, 2, 1"이 된다.