1과목: 데이터 베이스
1. 트랜잭션의 특성 중 둘 이상의 트랜잭션이 동시에 병행 실행되는 경우 어느 하나의 트랜잭션 실행 중에 다른 트랜잭션의 연산이 끼어들 수 없음을 의미하는 것은?
2. 조건을 만족하는 릴레이션의 수평적 부분집합으로 구성하며, 연산자의 기호는 그리스 문자 시그마(σ)를 사용하는 관계대수 연산은?
3. 시스템 카탈로그에 대한 설명으로 틀린 것은?
4. 트랜잭션들을 수행하는 도중 장애로 인해 손상 된 데이터베이스를 손상되기 이전의 정상적인 상태로 복구시키는 작업은?
5. 관계 해석에 대한 설명으로 틀린 것은?
6. 어떤 릴레이션 R의 모든 조인 종속성의 만족이 R의 후보 키를 통해서만 만족된다. 이 릴레이션 R은 어떤 정규형의 릴레이션인가?
7. Which of the following does not belong to the DML statement of SQL?
8. 데이터 무결성 제약조건 중 “개체 무결성 제약” 조건에 대한 설명으로 맞는 것은?
9. E-R 모델의 표현 방법으로 옳지 않은 것은?
10. 병행제어의 목적으로 옳지 않은 것은?
11. 순서가 A, B, C, D로 정해진 입력 자료를 push, push, pop, push, push, pop, pop, pop 순서로 스택연산을 수행하는 경우 출력 결과는?
12. 다음 설명이 의미하는 것은?
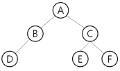
13. 다음 그림에서 트리의 차수는?
14. 사용자 X1에게 department 테이블에 대한 검색 연산을 회수하는 명령은?
15. 스키마, 도메인, 테이블을 정의할 때 사용되는 SQL 문은?
16. 릴레이션의 특징으로 거리가 먼 것은?
17. 데이터베이스의 물리적 설계 단계와 거리가 먼 것은?
18. 해싱에서 충돌로 인해 동일한 홈 주소를 갖는 레코드들의 집합을 의미하는 것은?
19. 다음 트리를 Preorder 운행 법으로 운행할 경우 가장 먼저 탐색되는 것은?
20. 다음 자료에 대하여 선택(Selection) 정렬을 이 용하여 오름차순으로 정렬하고자 한다. 1회전 수행 결과는?
2과목: 전자 계산기 구조
21. 설치되어 있는 물리적인 메모리 용량보다 더 큰 용량의 프로그램을 실행할 수 있도록 보조 기억 장치 용량에 해당하는 용량만큼 메모리 용량을 확장하여 사용할 수 있도록 하는 기술은?
22. 디지털 IC의 특성을 나타내는 내용 중 전달지연 시간이 가장 짧은 것부터 차례로 나열한 것으로 옳은 것은?
23. 10진수 -456을 PACK 형식으로 표현한 것은?




" 이다. 이유는 PACK 형식에서는 바이트 순서가 Big Endian 방식으로 정해져 있기 때문에 첫 번째 바이트가 가장 왼쪽에 오게 된다.24. 인터럽트 처리 절차가 순서대로 옳게 나열된 것은?
25. 가상 메모리를 사용한 컴퓨터에서 page fault가 발생하면 어떤 현상이 일어나는가?
26. 다음은 0-주소 명령어 방식으로 이루어진 프로그램이다. 레지스터 X의 내용은? (단, 레지스터 A=1, B=2, C=3, D=3, E=2 이며, ADD는 덧셈, MUL은 곱셈을 의미한다.)
27. 전가산기를 구성하기 위하여 필요한 소자를 바르게 나타낸 것은?
28. 메가플롭스(MFLOPS)의 계산식으로 옳은 것은?
29. 가상기억장치 (Virtual Memory System)를 도입함으로써 기대할 수 있는 장점이 아닌 것은?
30. 기억장치가 1024 word로 구성되고, 각 word는 16bit로 이루어져 있을 때, PC, MAR, MBR의 bit 수를 각각 바르게 나타낸 것은?
31. 다음 중 interrupt 발생 원인이 아닌 것은?
32. 다음 인터럽트에 관한 설명 중 가장 옳은 것은?
33. 자기 코어(core) 기억장치에서 1word가 16bit로 되어 있다면 몇 장의 코어 플레인(core plane)이 필요한가?
34. 중재동작이 끝날 때마다 모든 마스터들의 우선순위가 한 단계씩 낮아지고 가장 우선순위가 낮았던 마스터가 최상위 우선순위를 가지도록 하는 가변우선순위 방식은?
35. 수직 마이크로명령어 방식의 명령어가 다음의 형식을 갖는다면 이 제어장치는 최대 몇 개의 제어 신호를 동시에 생성할 수 있는가?
36. 1-주소 명령어에서는 무엇을 이용하여 명령어 처리를 하는가?
37. 명령어의 구성 중에서 주소(Operand)부에 속하지 않은 것은?
38. 다음 마이크로 연산들은 명령어 사이클 중 어디에 해당하는가?
39. 마이크로오퍼레이션이 실행될 때의 기준이 되는 것으로 가장 옳은 것은?
40. 데이터의 기억 형태에 따른 방식과 기억장치의 상호 연결이 옳지 않은 것은?
3과목: 운영체제
41. 다음 설명에 가장 부합하는 디스크 스케줄링 기법은?
42. 3 개의 페이지 프레임을 갖는 시스템에서 페이지 참조 순서가 1, 2, 1, 0, 4, 1, 3 일 경우 FIFO 알고리즘에 의한 페이지 대치의 최종 결과는?
43. 로더(Loader)의 종류 중 다음 설명에 해당하는 것은?
44. 기억공간이 15K, 23K, 22K, 21K 순으로 빈 공 간이 있을 때 기억장치 배치 전략으로 "First Fit"을 사용하여 17K의 프로그램을 적재할 경우 내부단편화의 크기는 얼마인가?
45. O/S가 수행하는 기능에 해당하지 않는 것은?
46. 선점 기법과 대비하여 비선점 스케줄링 기법에 대한 설명으로 옳지 않은 것은?
47. 가상메모리의 교체정책 중 LRU(Least Recently Used) 알고리즘으로 구현할 때 그림에서 D 페이지가 참조될 때의 적재되는 프레임으로 옳은 것은? (단, 고정 프레임이 적용되어 프로세스에 3개의 프레임이 배정되어 있고, 4개의 서로 다른 페이지(A, B, C, D)를 B, C, B, A, D 순서로 참조한다고 가정한다.)




" 이다.48. NUR 기법은 호출 비트와 변형 비트를 가진다. 다음 중 가장 나중에 교체될 페이지는?
49. 스케줄링 하고자 하는 세 작업의 도착시간과 실행시간이 다음표와 같다. 이 작업을 SJF로 스케줄링 하였을 때, 작업 2의 종료시간은? (단, 여기서 오버헤드는 무시한다.)(오류 신고가 접수된 문제입니다. 반드시 정답과 해설을 확인하시기 바랍니다.)
50. 분산처리 시스템에 대한 설명으로 옳지 않은 것은?
51. 다중 처리기 운영체제 구조 중 주/종(Master/Sl ave) 처리기에 대한 설명으로 옳지 않은 것은?
52. UNIX 파일시스템 구조에서 데이터가 저장된 블록의 시작 주소를 확인할 수 있는 블록은?
53. 교착상태의 해결 방안 중 다음 사항에 해당하는 것은?
54. 운영체제를 기능에 따라 분류할 경우 제어 프로그램과 가장 거리가 먼 것은?
55. 프로세스의 정의로 거리가 먼 것은?
56. 운영체제에 대한 설명으로 옳지 않은 것은?
57. 운영체제의 성능평가 요인 중 다음 설명에 해당하는 것은?
58. 회전 지연 시간을 최적화하기 위한 스케줄링 기법은 탐구 시간을 필요로 하지 않는 고정 헤드 디스크 시스템이나, 각 트랙마다 헤드를 갖는 드럼 등의 보조 기억장치에서 사용된다. 회전 시간의 최적화를 위해 구현된 디스크 스케줄링 기법은?
59. HRN 방식으로 스케줄링 할 경우, 입력된 작업이 다음과 같을 때 처리되는 작업 순서로 옳은 것은?
60. LRU 교체 기법에서 페이지 프레임이 3일 경우 페이지 호출 순서가 3인 곳(화살표 부분)의 빈 칸을 위에서부터 아래쪽으로 옳게 나열된 것은?
4과목: 소프트웨어 공학
61. 객체에게 어떤 행위를 하도록 지시하는 명령은?
62. 소프트웨어 품질 목표 중 사용자의 요구 기능을 충족시키는 정도를 의미하는 것은?
63. 다음 중 가장 결합도가 강한 것은?
64. 럼바우 분석 기법에서 정보 모델링이라고도 하며, 시스템에서 요구되는 객체를 찾아내어 속성과 연산 식별 및 객체들 간의 관계를 규정하여 객체 다이어그램으로 표시하는 모델링은?
65. 소프트웨어 개발의 생산성에 영향을 미치는 요소로 가장 거리가 먼 것은?
66. 다음 중 상위 CASE 도구가 지원하는 중요 기능으로 볼 수 없는 것은?
67. 프로토타이핑 모형(Prototyping Model)에 대한 설명으로 옳지 않은 것은?
68. 다음은 어떤 프로그램 구조를 나타낸다. 모듈 F에서의 fan-in과 fan-out의 수는 얼마인가?
69. 모듈(module)의 응집도(cohesion)가 약한 것부터 강한 순서로 옳게 나열된 것은?
70. 소프트웨어 프로젝트(Project)의 특징에 대한 설명으로 가장 거리가 먼 것은?
71. 소프트웨어 개발 모델 중 나선형 모델의 네 가지 주요활동이 순서대로 나열된 것은?(일부 컴퓨터에서 보기가 정상적으로 보이지 않아서 괄호 뒤에 다시 표기 하여 둡니다.)
72. 블랙박스 검사 기법에 해당하는 것으로만 짝지어진 것은?
73. 소프트웨어 공학의 전통적인 개발 방법인 선형 순차 모형의 순서를 옳게 나열한 것은?
74. 객체에 대한 특성을 설명한 것으로 가장 옳지 않은 것은?
75. 소프트웨어 품질보증을 위한 FTR의 지침사항으로 가장 옳지 않은 것은?
76. 소프트웨어 재공학은 어떤 유지보수 측면에서 소프트웨어 위기를 해결하려고 하는 방법인가?
77. 소프트웨어 재사용에 대한 설명으로 틀린 것은?
78. 비용예측방법에서 원시 프로그램의 규모에 의한 방법(COCOMO model)중 초대형 규모의 트랜잭션 처리시스템이나 운영체제 등의 소프트웨어를 개발하는 유형은?
79. 소프트웨어 설계 시 제일 상위에 있는 main user function에서 시작하여 기능을 하위 기능들로 분할해 가면서 설계하는 방식은?
80. 어떤 모듈이 다른 모듈의 내부 논리 조직을 제어하기 위한 목적으로 제어신호를 이용하여 통신하는 경우이며, 하위 모듈에서 상위 모듈로 제어신호가 이동하여 상위 모듈에게 처리 명령을 부여하는 권리 전도현상이 발생하게 되는 결합도는?
5과목: 데이터 통신
81. 물리 네트워크 이용하여 논리 주소로 변환시켜 주는 프로토콜은?
82. OSI-7 layer의 데이터링크계층에서 사용하는 데이터 전송 단위는?
83. PCM 시스템에서 상호 부호간 간섭(ISI) 측정을 위해 눈 패턴(eye pattern)을 이용하는데 여기서 눈을 뜬 상하의 높이가 의미하는 것은?
84. 6비트를 사용하여 양자화 하는 경우 양자화 step수는?
85. TCP/IP 프로토콜에서 IP(Internet Protocol)에 대한 설명으로 거리가 먼 것은?
86. 주파수 대역폭이 fd[Hz] 이고 통신로의 채널용량이 6fd[bps]인 통신로에서 필요한 S/N비는?
87. HDLC의 동작 모드 중 전이중 전송의 점대점 균형 링크 구성에 사용되는 것은?
88. 메시지가 전송되기 전에 발생지에서 목적지까지의 물리적 통신 회선 연결이 선행되어야 하는 교환 방식은?
89. 200.1.1.0/24 네트워크를 FLSM 방식을 이용하여 10개의 subnet으로 나누고 ip subnet -zero를 적용했다. 이때 서브네팅된 네트워크 중 10번째 네트워크의 broadcast IP 주소는?
90. 위상을 이용한 디지털 변조 방식은?
91. 다음이 설명하고 있는 전송기술은?
92. NRZ 전송부호에서 1의 경우 low level, 0의 경우 high level을 부여하는 것은?
93. 다음이 설명하고 있는 데이터 링크 제어 프로토콜은?(오류 신고가 접수된 문제입니다. 반드시 정답과 해설을 확인하시기 바랍니다.)
94. 각 채널별로 타임 슬롯을 사용하나 데이터를 전송하고자 하는 채널에 대해서만 슬롯을 유동적으로 배정하며, 비트블록에 데이터뿐만 아니라 목적지 주소에 대한 정보도 포함하는 다중화방식은?
95. 패킷 교환망에서 패킷이 적절한 경로를 통해 오류 없이 목적지까지 정확하게 전달하기 위한 기능으로 옳지 않은 것은?
96. 다음이 설명하고 있는 것은?
98. TCP/IP 관련 프로토콜 중 응용 계층에서 동작하는 프로토콜은?
99. 해밍 거리가 8일 때, 수신 단에서 정정 가능한 최대 오류 개수는?
100. 다음이 설명하고 있는 ARQ 방식은?