1과목: 데이터 베이스
1. 다음 관계대수 중 순수 관계연산자가 아닌 것은?
2. 다음 SQL문 실행결과는? (실제 시험에서는 전항 정답 처리 되었지만 확정답안 발표를 참고하여 문제를 적절히 수정하여 정상적으로 문제를 풀수 있도록 조치 하였습니다.)




" 이다.3. 로킹기법에서 2단계 로킹 규약에 대한 설명으로 옳은 것은?
4. E-R 모델에서 다중값 속성의 표기법은?




"이 정답인 이유는 반직선의 한쪽 끝에 "M"이 표기되어 있기 때문이다.5. 데이터 모델의 종류 중 CODASYL DBTG 모델과 가장 밀접한 관계가 있는 것은?
6. 릴레이션에 대한 설명으로 옳지 않은 것은?
7. 릴레이션에 R1에 속한 애튜리뷰트의 조합인 외래키를 변경하려면 이를 참조하고 있는 R2의 릴레이션의 기본키도 변경해야 하는데 이를 무엇이라 하는가?
8. 깊이가 5인 이진 트리에서 가질 수 있는 최대 노드수는?
9. 퀵 정렬에 대한 설명으로 틀린 것은?
10. 트랜잭션(Transaction)은 보통 일련의 연산 집합이란 의미로 사용하며 하나의 논리적 기능을 수행하는 작업의 단위이다. 트랜잭션이 가져야 할 특성으로 거리가 먼 것은?
11. 뷰에 대한 설명으로 틀린 것은?
12. 다음 설명이 의미하는 것은?
13. 데이터베이스에서 개념적 설계 단계에 대한 설명으로 틀린 것은?
14. 시스템 카탈로그에 대한 설명으로 틀린 것은?
15. 후위 표기식이 다음과 같을 때 연산 결과는? (실제 시험에서는 전항 정답 처리 되었지만 확정답안 발표를 참고하여 문제를 적절히 수정하여 정상적으로 문제를 풀수 있도록 조치 하였습니다.)
16. Which of the following does not belong to the DML statement of SQL?
17. 다음과 같이 오름차순 정렬되었을 경우 사용된 정렬 기법은?
18. 다음 그래프의 인접 행렬(Adjacency Matrix) 표현시 옳은 것은?




"이다.
"이 정답이다.19. Commit과 Rollback 명령어에 의해 보장 받는 트랜잭션의 특성은?
20. 해싱에서 충돌이 일어난 자리에서 그 다음 버킷들을 차례로 하나씩 검색하여 최초로 나오는 빈 버킷에 해당 데이터를 저장하는 방법은?
2과목: 전자 계산기 구조
21. 프로그램 상태 워드(program status word)에 대한 설명으로 가장 타당한 것은?
22. cache memory에 대한 설명과 가장 관계가 깊은 것은?
23. 제어장치의 기능에 대한 설명으로 가장 옳지 않은 것은?
24. 인터럽트의 요청이 있을 경우에 처리하는 내용 중 가장 관계 없는 것은?
25. 캐시의 쓰기 정책 중 write-through 방식의 단점은?
26. 인터럽트의 발생 원인으로 가장 옳지 않은 것은?
27. 다음의 마이크로 오퍼레이션과 가장 관련 있는 것은?(단, EAC : 끝자리 올림과 누산기를 의미)
28. 우선순위 중재 방식 중 중재동작이 끝날 때마다 모든 마스터들의 우선순위가 한 단계씩 낮아지고, 가장 우선순위가 낮았던 마스터가 최상위 우선순위를 가지는 방식은?
29. 다음의 그림은 병렬 가산기(parallel adder)의 입력과 출력을 나타낸 것이다. 음수 표현을 위해 2의 보수(2‘s complement)를 사용한다고 할 경우 그림은 어떤 연산 수행을 위한 것인가?




"이다.30. 컴퓨터에서 사용하는 마이크로명령어를 기능별로 분류할 때 동일한 분류에 포함되지 않는 것은?
31. CAM(Content Addressable Memory)의 특징으로 가장 옳은 것은?
32. 인스트럭션 수행을 위한 메이저 상태를 설명한 것으로 가장 옳은 것은?
33. 명령어 인출(IF), 명령어 해독(ID), 오퍼랜드인출(OF), 실행(EX)의 순서로 실행되고, 각 단계에 걸리는 시간이 같은 4단계 명령어 파이프라인에 인가되는 클록 주파수가 1 GHz 일 때, 20개의 명령어를 실행하는데 걸리는 시간은?
34. 부호를 나타내지 않은 양의 수에 대한 산술적 시프트를 한 경우에 대한 설명으로 가장 옳지 않은 것은?
35. RAM에 관한 설명으로 가장 타당하지 않은 것은?
36. 다음 논리회로에 관한 설명 중 가장 옳지 않은 것은?
37. 하드웨어 신호에 의하여 특정번지의 서브루틴을 수행하는 것은?
38. 병렬처리와 가장 관계없는 것은?
39. 고선명(HD) 비디오 데이터를 저장하기 위해 짧은 파장(405나노미터)을 갖는 레이저를 사용하는 광 기록방식 저장매체는?
40. 정수 n bit를 사용하여 1의 보수(1‘s complement)로 표현하였을 때 그 값의 범위는?
3과목: 운영체제
41. 다음 표와 같이 작업이 제출되었을 때, 라운드로빈 정책을 사용하여 스케줄링 할 경우 평균 반환시간을 계산한 결과로 옳은 것은?(단, 작업할당 시간은 4시간으로 한다.)
42. 다음 중 암호화 기법이 아닌 것은?
43. 사용자가 요청한 디스크 입, 출력 내용이 다음과 같은 순서로 큐에 들어 있다. 이 때 SSTF 스케쥴링을 사용한 경우의 처리 순서는?(단, 현재 헤드 위치는 53 이고, 제일 안쪽이 1번, 바깥쪽이 200번 트랙이다.
44. 다음 중 시스템 소프트웨어가 아닌 것은?
45. 다음과 같은 형태로 임계 구역의 접근을 제어하는 상호배제 기법은?
46. 다중 처리기 운영체제 구성에서 주/종(Master/Slave)처리기 시스템에 대한 설명으로 가장 옳지 않은 것은?
47. 디스크 스케줄링에서 SCAN기법을 사용할 경우, 다음과 같은 작업 대기 큐의 작업들을 수행하기 위한 헤드의 총 트랙 이동 거리는?(단, 초기 헤드의 위치는 30이고, 현재 0번 트랙으로 이동 중이다.)
48. 하나의 루트 디렉터리와 여러 개의 서브 디렉터리로 구성되어 있으며 각 디렉터리의 생성 및 삭제가 용이하며 MS-DOS, Unix, MS-Windows 운영체제에서 사용하고 있는 디렉터리 구조는?
49. 기계어와 비교하여 어셈블리 언어가 갖는 장점이 아닌 것은?
50. 준비상태에 있는 프로세스 중에서 실행될 프로세스를 선정하여 CPU에 할당하는 것은?
51. Virtual Memory의 Page Replacement 알고리즘이 아닌 것은?
52. 다음 설명에 해당하는 운영체제 성능평가 기준은?
53. UNIX의 시스템 콜(call) 중에서 새로운 프로세스를 생성시키는데 사용하는 것은?
54. 공유 메모리를 사용하는 병렬 프로세스들의 상호배제를 위한 요구조건이 아닌 것은?
55. UNIX에서 실행명령의 백그라운드(Background) 처리를 위해 명령어의 끝에 입력하는 기호는?
56. 워킹 셋(working set)에 대한 설명으로 옳지 않은 것은?
57. 정상적인 데이터에 여분의 거짓 데이터를 삽입하여 불법적으로 데이터를 분석하는 공격을 방어할 수 있는 기법은?
58. UNIX 시스템에서 사용자와 운영체제 서비스를 연결해 주는 인터페이스로 상위수준의 소프트웨어가 커널의 기능을 이용할 수 있도록 지원해주는 것은?
59. 다음 중 분산처리 시스템을 프로세스 모델에 따라서 분류하였을 경우에 해당되지 않는 것은?
60. 4개의 페이지를 수용할 수 있는 주기억장치가 있으며, 초기에는 모두 비어 있다고 가정한다. 다음의 순서로 페이지 참조가 발생할 때, FIFO 페이지 교체 알고리즘을 사용할 경우 페이지 결함의 발생 횟수는?
4과목: 소프트웨어 공학
61. 데이터 흐름도(DFD)의 구성요소에 포함되지 않는 것은?
62. 블랙박스 테스트 기법에 해당하는 내용을 모두 고르면?
63. 소프트웨어 재사용과 관련하여 객체들의 모임, 대규모 재사용 단위로 정의되는 것은?
64. 다수의 사용자를 제한되지 않은 환경에서 프로그램을 사용하게 하고 오류가 발견되면 개발자에게 통보하는 방식의 검사(test) 방법은?
65. 소프트웨어 품질 보증을 위한 정형 기술 검토의 지침 사항으로 옳지 않은 것은?
66. 객체 지향 설계 및 분석단계에 대한 설명으로 틀린 것은?
67. User Interface 설계 시 오류 메시지나 경고에 관한 지침으로 가장 옳지 않은 것은?
68. 하향식 통합 테스트 수행을 위해 일시적으로 필요한 조건만을 가지고 임시로 제공되는 시험용 모듈의 명칭은?
69. 소프트웨어 역공학(Software reverse engineering)에 대한 설명으로 가장 옳지 않은 것은?
70. 소프트웨어, 하드웨어, 데이터베이스, 테스트 등을 통합하여 소프트웨어를 개발하는 환경을 조성한다는 의미를 가진 용어는?
71. 프로그램 설계도의 하나인 NS(Nassi-Schneiderman) Chart에 대한 설명으로 가장 옳지 않은 것은?
72. 객체지향의 캡슐화에 대한 설명으로 가장 옳지 않은 것은?
73. 자료 사전에서 기호 “ { } ”의 의미는?
74. 컴포넌트 재사용을 위한 컴포넌트 기반 개발 활동에 대한 설명으로 가장 옳지 않은 것은?
75. COCOMO model 중 기관 내부에서 개발된 중소 규모의 소프트웨어로 일괄 자료 처리나 과학기술 계산용, 비즈니스 자료 처리용으로 5만 라인 이하의 소프트웨어를 개발하는 유형은?
76. Rumbaugh의 모델링에서 상태도와 자료흐름도는 각각 어떤 모델링과 가장 관련이 있는가?
77. COCOMO 모델에 의한 비용(cost) 산정 과정에 해당하지 않는 것은?
78. 실시간 소프트웨어 설계 시 고려해야 할 사항이 아닌 것은?
79. 위험 모니터링(monitoring)의 의미로 가장 옳은 것은?
80. 소프트웨어 공학에 대한 설명으로 가장 거리가 먼 것은?
5과목: 데이터 통신
81. HDLC의 프레임(Frame)의 구조가 순서대로 올바르게 나열된 것은?(단, A: Address, F: Flag, C: Control, D: Data, S: Frame Check Sequence)
82. 패킷 교환 방식에 대한 설명으로 틀린 것은?
83. 다중접속방식 중 CDMA 방식에 대한 특징으로 틀린 것은?
84. IP계층의 프로토콜에 해당되지 않는 것은?
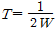
85. 연속적인 신호파형에서 최고주파수가 W(Hz)일 때 나이키스트 표본화 주기(T)는?




"은 1/W로 표현되어 있기 때문에 옳은 답이다.86. 패킷화 기능이 없는 일반형 터미널에 접속하여 패킷의 조립과 분해 기능을 대신해 주는 장치는?
87. IPv4에서 IPv6로의 천이 전략 중 캡슐화 및 역캡슐화를 사용하는 것은?
88. 전진에러수정(FEC) 코드에 대한 설명으로 틀린 것은?
89. 광대역통합네트워크에서 VoIP 서비스를 제공하기 위한 프로토콜이 아닌 것은?
90. 인터넷 망(IP Network)과 유선 전화망(PSTN)간을 상호 연동시키는데 사용되는 시그널링 프로토콜은?
91. 회선교환 방식에 대한 설명으로 틀린 것은?
92. 호스트의 물리 주소를 통하여 논리 주소인 IP 주소를 얻어오기 위해 사용되는 프로토콜은?
93. Hamming코드에서 총 전송비트수가 17비트 일 때, 해밍 비트수와 순수한 정보 비트수는?
94. 프로토콜의 기본적인 요소로 볼 수 없는 것은?
95. 192.168.1.0/24 네트워크를 FLSM 방식을 이용하여 6개의 subnet으로 나누고 ip subnet-zero를 적용했다. 이 때 subnetting된 네트워크 중 5번째 네트워크의 2번째 사용 가능한 IP주소는?
96. QPSK 변조방식의 대역폭 효율은 몇 [bps/Hz]인가?
97. 8진 PSK 변조방식에서 변조속도가 2400(baud) 일 때 정보 신호의 속도는 몇 (bits/s)인가?
98. X.25 프로토콜을 구성하는 계층에 해당하지 않는 것은?
99. 아날로그 데이터를 아날로그 신호로 변환하는 변조방식이 아닌 것은?
100. OSI 7계층에서 단말기 사이에 오류 수정과 흐름제어를 수행하여 신뢰성 있고 명확한 데이터를 전달하는 계층은?
차집합은 두 개의 릴레이션에서 첫 번째 릴레이션에는 속하지만 두 번째 릴레이션에는 속하지 않는 튜플들로 이루어진 새로운 릴레이션을 반환하는 연산자입니다. 이는 두 개의 릴레이션 간의 비교를 위한 연산자로, 순수한 릴레이션 연산자는 아닙니다.
반면, 프로젝트, 조인, 디비전은 모두 순수한 릴레이션 연산자입니다. 프로젝트는 릴레이션에서 특정 속성들만 선택하여 새로운 릴레이션을 만드는 연산자이고, 조인은 두 개의 릴레이션에서 공통 속성을 기준으로 두 테이블을 합치는 연산자입니다. 디비전은 두 개의 릴레이션에서 첫 번째 릴레이션의 모든 튜플이 두 번째 릴레이션의 모든 튜플과 매칭되는 경우에만 새로운 릴레이션을 반환하는 연산자입니다.