1과목: 데이터 베이스
1. SQL의 명령은 사용 용도에 따라 DDL, DML, DCL로 분할 수 있다. 다음 명령 중 그 성격이 나머지 셋과 다른 하나는?
2. 개체-관계 모델(E-R Model)에 대한 설명으로 옳지 않은 것은?
3. 분산 데이터베이스에 대한 설명으로 거리가 먼 것은?
4. 릴레이션의 특징으로 옳은 내용 모두를 나열한 것은?
5. 데이터베이스의 3층 스키마 중 모든 응용시스템과 사용자들이 필요로 하는 데이터를 통합한 조직 전체의 데이터베이스 구조를 논리적으로 정의하는 스키마는?
6. 관계 대수 및 관계 해석에 대한 옳은 설명 모두를 나열한 것은?
7. 다음 설명이 의미하는 것은?
8. 어떤 릴레이션에서 R에서 X와 Y를 각각 R의 속성 집합의 부분 집합이라고 할 경우 속성 X의 값 각각에 대해 시간에 관계없이 항상 속성 Y의 값이 오직 하나만 연관되어 있을 때 Y는 X에 함수적 종속이라고 한다. 이를 기호로 옳게 표기한 것은?
9. 시스템 카탈로그에 대한 설명으로 옳지 않은 것은?
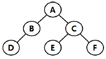
10. 다음 그림에서 트리의 Degree와 터미널 노드의 수는?
11. 데이터베이스 설계 시 물리적 설계 단계에서 수행하는 사항이 아닌 것은?
12. 다음 자료에 대하여 “selection sort”를 사용하여 오름차순으로 정렬할 경우 PASS 3의 결과는?
13. 데이터베이스 정의와 거리가 먼 것은?
14. 색인 순차 파일에 대한 설명으로 옳지 않은 것은?
15. 데이터 모델의 구성 요소 중 데이터베이스에 표현된 개체 인스턴스를 처리하는 작업에 대한 명세로서 데이터베이스를 조작하는 기본 도구를 의미하는 것은?
16. 데이터베이스의 특성 중 다음 설명에 해당 하는 것은?
17. What is the degree of a relation?
18. What is the degree of a relation?
19. 다음 표와 같은 판매실적 테이블에 대하여 서울지역에 한하여 판매액 내림차순으로 지점명과 판매액을 출력하고자 한다. 가장 적절한 SQL 구문은?
20. 병행제어 로킹(Locking)에 대한 설명으로 옳지 않은 것은?
2과목: 전자 계산기 구조
21. 다음 논리회로의 결과로 옳은 것은?(오류 신고가 접수된 문제입니다. 반드시 정답과 해설을 확인하시기 바랍니다.)

22. 보조기억장치의 일반적인 특징으로 옳지 않은 것은?
23. 피연산자의 위치(기억 장소)에 따라 명령어 형식을 분류할 때 instruction cycle time이 가장 짧은 명령어 형식은?
24. 4비트의 데이터 비트와 1비트의 패리티 비트가 사용되는 경우 몇 개 비트까지 에러를 검출할 수 있는가?
25. 오류 검출용 코드가 아닌 것은?
26. flynn의 분류법 중 여러 개의 처리기에서 수행되는 인스트럭션(instruction)들은 각기 다르나 전체적으로 하나의 데이터 스트림을 가지는 형태는?
27. 주소 설계 시 고려해야할 점이 아닌 것은?
28. 주기억장치는 하드웨어의 특성상 주기억장치가 제공 할 수 있는 정보 전달 능력에 한계가 있는데, 이 한계를 무엇이라 하는가?
29. 사용자 프로그램에 할당된 영역이 EC00h – FFFFh일 경우 사용 가능한 크기는 모두 몇 Kbyte인가?
30. 다음 소자 중에서 ROM과 유사한 성격을 가지며, AND array와 OR array로 구성된 것은?
31. 데이터의 주소를 표현하는 방식에 따라 분류할 때 계산에 의한 주소는 어디에 해당하는가?
32. 기억장치의 용량이 1M워드(word)이고 1워드가 32비트인 경우 PC(program counter), MAR(memory address register), MBR(memory buffer register)의 각 비트수는?
33. 메모리 인터리빙(interleaving)의 설명으로 옳지 않은 것은?
34. 명령문 구성 형태 중 하나의 오퍼랜드가 누산기 속에 포함된 명령 형식은?
35. 순서 논리회로에 대한 설명 중 옳지 않은 것은?
36. 마이크로 오퍼레이션에 대한 설명 중 옳지 않은 것은?
37. 다음과 같은 마이크로 동작은 어떤 명령의 수행과정을 나타내는 것인가?
38. 다음 중 2의 보수 (2′s complement) 가산 회로로서 정수 곱셈을 이행할 경우 필요 없는 것은?
39. 연산 명령 자체로 특수한 곱셈과 나눗셈을 수행하거나 혹은 곱셈과 나눗셈에 보조적으로 이용되는 것은?
40. 마이크로 명령 형식으로 적합하지 않은 것은?
3과목: 운영체제
41. 다음의 운영체제 운용 기법 중 라운드 로빈(Round Robin) 방식과 가장 관계되는 것은?
42. 디스크 스케줄링 기법 중 다음 설명에 해당하는 것은?
43. 세그먼테이션 기법에 대한 설명으로 옳지 않은 것은?
44. 스레드의 특징으로 옳지 않은 것은?
45. 다중 처리기 운영체제 형태 중 주/종(Master/Slave) 처리기에 대한 설명으로 옳지 않은 것은?(문제 오류로 가답안 발표시 1번으로 발표 되었지만 확정답안 발표시 1, 4번이 정답 처리 되었습니다. 여기서는 1번을 누르시면 정답 처리 됩니다.)
46. 프로세스(Process)에 대한 옳은 설명 모두를 나열한 것은?
47. 다음 설명에 해당하는 디렉토리 구조는?
48. 주기억 장치 관리기법 중 Worst-fit을 적용할 경우 8K의 프로그램이 할당될 영역으로 옳은 것은?
49. UNIX 파일 시스템의 inode에서 관리하는 정보가 아닌 것은?
50. 3개의 페이지를 수용할 수 있는 주기억장치가 있으며, 초기에는 모두 비어있다고 가정한다. 다음의 순서로 페이지 참조가 발생할 때, FIFO 페이지 교체 알고리즘을 사용할 경우 몇 번의 페이지 결함이 발생하는가?
51. HRN 방식으로 스케줄링 할 경우, 입력된 작업이 다음과 같을 때 우선순위가 가장 높은 것은?
52. 워킹 셋(Working Set)에 대한 설명으로 옳지 않은 것은?
53. 프로세서의 상호 연결 구조 중 하이퍼 큐브 구조에서 각 CPU가 4개의 연결점을 가질 경우 CPU의 총 개수는?
54. 분산 운영체제 구조 중 다음의 특징을 갖는 것은?
55. UNIX에서 새로운 프로세스를 생성하는 명령은?
56. 다음과 같은 접근제어 행렬에 대한 설명 중 옳은 것은?(단, E : 실행가능, R : 판독가능, W : 기록가능, NONE : 모든 권한 없음)
57. UNIX에 대한 옳은 설명 모두를 나열한 것은?
58. 운영체제의 목적 중 다음 설명에 해당하는 것은?
59. 프로세스 제어블록(Process Control Block)에 대한 설명으로 옳지 않은 것은?
60. 운영체제에 대한 옳은 설명으로만 짝지어진 것은?
4과목: 소프트웨어 공학
61. 민주주의적 팀(Democratic Team)에 대한 내용으로 옳은 것은?
62. CPM(Critical Path Method)에 대한 설명으로 옳지 않은 것은?
63. 소프트웨어 재공학 활동 중 역공학에 해당하는 것은?
64. 시스템에서 모듈 사이의 결합도(Coupling)에 대한 설명으로 옳은 것은?
65. 소프트웨어 재사용과 관련하여 객체들의 모임, 대규모 재사용 단위로 정의되는 것은?
66. 럼바우 분석 기법에서 자료 흐름도를 사용하여 프로세스들의 처리 과정을 기술하는 것과 관계되는 것은?
67. 소프트웨어의 재사용으로 인한 효과와 거리가 먼 것은?
68. CASE가 갖고 있는 주요 기능이 아닌 것은?
69. 소프트웨어 프로젝트 관리를 효과적으로 수행하는데 필요한 3P에 해당하지 않는 것은?
70. 다음 설명의 ( ) 내용으로 옳은 것은?
71. FTR의 지침 사항으로 거리가 먼 것은?
72. LOC 기법에 의하여 예측된 총 라인수가 50000라인, 프로그래머의 월 평균 생산성이 200라인, 개발 참여 프로그래머가 10인 일 때, 개발 소요 기간은?
73. 블랙박스 검사 기법에 해당하는 것으로만 짝지어진 것은?
74. 유지보수의 종류 중 장래의 유지보수성 또는 신뢰성을 개선하거나 소프트웨어의 오류발생에 대비하여 미리 예방수단을 강구해 두는 것은?
75. 소프트웨어 형상관리(Configuration management)에 관한 설명으로 거리가 먼 것은?
76. 소프트웨어 역공학(Software reverse engineering)에 대한 설명으로 옳지 않은 것은?
77. 소프트웨어 위기 발생요인과 거리가 먼 것은?
78. 소프트웨어 품질 목표 중 쉽게 배우고 사용할 수 있는 정도를 의미하는 것은?
79. 나선형(Spiral) 모형에 대한 설명으로 옳지 않은 것은?
80. 다음의 객체지향 기법에 관한 설명에서 ( ) 안 내용으로 공통 적용될 수 있는 것은?
5과목: 데이터 통신
81. 디지털 데이터를 아날로그 신호로 변조하는 방법으로만 나열된 것은?
82. IETF에서 고안한 IPv4에서 IPv6로 전환(천이)하는데 사용되는 전략이 아닌 것은?
83. 회선을 제어하기 위한 제어 문자 중 실제 전송할 데이터 집합의 시작임을 의미하는 것은?
84. X.25 프로토콜에서 정의하고 있는 것은?
85. 토큰 패싱 방식에서 토큰에 대하여 가장 올바르게 설명한 것은?
86. 다음 중 통신망의 체계적인 운용 및 관리를 위한 TMN(Telecommunication Management Network)의 기능 요소에 해당하지 않는 것은?
87. OSI 7계층 중 데이터 링크 계층의 프로토콜로 틀린 것은?
88. 다수의 타임 슬롯으로 하나의 프레임이 구성되고, 각 타임 슬롯에 채널을 할당하여 다중화하는 것은?
89. 인터넷 상의 서버와 클라이언트 사이의 멀티미디어를 송수신하기 위한 프로토콜과 웹 문서를 작성하기 위해 사용하는 언어를 순서대로 바르게 나열한 것은?
90. 수신측에서 수신된 데이터에 대한 확인(Acknowledgement)을 즉시 보내지 않고 전송할 데이터가 있는 경우에만, 제어 프레임을 별도로 사용하지 않고 기존의 데이터 프레임에 확인 필드를 덧붙여 전송하는 흐름제어 방식은?
91. 다음이 설명하고 있는 에러 검출 방식은?
92. 하나의 통신채널을 이용하여 데이터의 송신과 수신이 교번식으로 가능한 통신방식은?
93. 매체 접근 제어 방식 중 CSMA/CD와 토큰 패싱(Token passing)에 대한 설명으로 틀린 것은?
94. RTCP(Real-Time Control Protocol)의 특징으로 틀린 것은?
95. 대역폭(bandwidth)에 대한 설명으로 옳은 것은?
96. 데이터 통신에서 동기 전송방식에 대한 설명으로 틀린 것은?
97. 데이터 전송제어 절차가 순서대로 올바르게 나열된 것은?
98. HDLC 프레임 구조 중 헤더를 구성하는 플래그(flag)에 대한 설명으로 틀린 것은?
99. 송신 스테이션이 데이터 프레임을 연속적으로 전송해 나가다가 NAK를 수신하게 되면 에러가 발생한 프레임을 포함하여 그 이후에 전송된 모든 데이터 프레임을 재전송 하는 방식은?
100. OSI 7계층 중 통신망을 통한 목적지까지 패킷 전달을 담당하는 계층은?
"CREATE"는 DDL(Data Definition Language) 명령으로, 데이터베이스나 테이블, 인덱스 등을 생성하는 명령입니다. 나머지 "SELECT", "INSERT", "UPDATE"는 DML(Data Manipulation Language) 명령으로, 데이터를 조회하거나 삽입, 수정하는 명령입니다.