1과목: 데이터 베이스
1. 다음 자료를 버블 정렬을 이용하여 오름차순으로 정렬 할 경우 PASS 1의 결과는?
2. “트랜잭션 결과 관련 있는 모든 연산들은 완전히 실행 되거나 전혀 실행되지 않아야 한다.” 는 내용이 의미하는 트랜잭션의 요구사항은?
3. 다음과 같은 일련의 권한 부여 SQL 명령에 대한 설명 중 부적합한 것은?
4. 데이터베이스의 특성으로 옳은 내용 모두를 나열한 것은?
5. 릴레이션에 대한 설명으로 옳지 않은 것은?
6. 다음의 사원 릴레이션에서 “성명”을 기본 키로 사용하기 곤란한 이유로 가장 타당한 것은?
7. 정규화의 목적으로 옳지 않은 것은?
8. 다음은 무엇에 대한 설명인가?
9. 자료구조에 대한 설명으로 옳지 않은 것은?
10. SQL의 명령은 사용 용도에 따라 DDL, DML, DCL로 구분할 수 있다. DML에 해당하는 것으로만 나열된 것은?
11. 뷰(VIEW)에 대한 설명으로 옳지 않은 것은?
12. 데이터베이스에 관한 사항으로 다음에서 설명하는 것은?
13. 순서가 A, B, C, D 로 정해진 입력 자료를 스택에 입력하였다가 출력한 결과로 가능한 것으로만 짝지어 진 것은?
14. 데이터베이스의 정의로 옳은 내용 모두를 나열한 것은?
15. 어떤 릴레이션 R에서 X와 Y를 각각 R의 속성 집합의 부분 집합이라고 할 경우 속성 X의 값 각각에 대해 시간에 관계 없이 항상 속성 Y의 값이 오직 하나만 연관되어 있을 때 Y는 X에 함수적 종속이라고 한다. 이를 기호로 옳게 표기한 것은?
16. 병행제어 기법 중 로킹에 대한 설명으로 옳지 않은 것은?
17. 데이터베이스 설계 단계 중 응답시간, 저장 공간의 효율화, 트랜잭션 처리도와 가장 밀접한 관계가 있는 것은?
18. 시스템 카탈로그에 대한 설명으로 옳은 내용 모두를 나열한 것은?
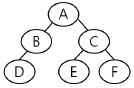
19. 다음 트리를 후위 순회(Post Traversal)할 경우, 가장 먼저 순회하는 노드는?
20. 데이터베이스에서 사용되는 널(NULL)에 대한 설명으로 가장 적절한 것은?
2과목: 전자 계산기 구조
21. 전가산기(full-adder)의 carry 비트를 논리식으로 나타낸 것은?(단, x, y, z는 입력, C(carry)는 출력)
22. BCD 코드 1001에 대한 해밍 코드를 구하면?
23. 다음 중 OP-code의 기능이 아닌 것은?
24. 재귀호출(recursive call) 프로그램에 해당하는 것은?
25. 캐시(cache) 기억장치에 대한 설명으로 가장 옳은 것은?
26. 마이크로 오퍼레이션에 대한 설명 중 옳은 것은?
27. 다음은 0-주소 명령어 방식으로 이루어진 프로그램이다. 레지스터 X의 내용은?(단, 레지스터 A = 1, B = 2, C = 3, D = 3, E = 2이며, ADD는 덧셈 명령어, MUL은 곱셈 명령어이다.)
28. 1-주소 명령어에서는 무엇을 이용하여 명령어 처리를 하는가?
29. 동일한 컴퓨터에서 처리할 경우 연산속도가 가장 빠른 것은?
30. 정수 n bit를 사용하여 1의 보수(1‘s complement)로 표현하였을 때 그 값의 범위는?(문제 오류로 가답안 발표시 가번(1번)으로 발표되었지만 확정답안에서 전항 답안으로 인정한 문제입니다. 여기서는 가번(1번)을 정답 처리 합니다.)
31. 가상기억장치(Virtual Memory System)를 도입함으로써 기대할 수 있는 장점이 아닌 것은?
32. 다음은 DMA와 인터럽트에 대한 설명이다. 잘못 설명 된 것은?
33. shift 명령을 수행한 후 빈 공간에 채워지는 내용이 다른 것은?
34. 명령어의 주소(address) 부를 유효주소로 이용하는 방법은?
35. 다음의 마이크로 오퍼레이션과 관련 있는 것은?
36. 통상적인 사용자 프로그램을 처리함에 있어서 중앙처리장치(CPU)가 가장 많이 실행하는 인스트럭션 종류는?
37. 다중처리기 상호 연결 방법 중 시분할 공유버스를 설명한 것은?
38. 하나의 채널에 저속의 많은 입출력 장치를 구동시키는데 알맞은 방식으로 각 입출력 장치마다 채널을 시분할 공유하도록 하여 여러 개의 입출력 장치를 동작시킬 수 있는 채널은?
39. 파이프라인 프로세서(Pipeline processor)의 설명 중 가장 적합한 것은?
40. 2의 보수로 표현되는 수가 A, B 레지스터에 저장되어 있다. A ← A-B 연산을 수행한 후의 A 레지스터는?
3과목: 운영체제
41. 프로세스의 정의로 옳은 내용 모두를 나열한 것은?
42. UNIX에서 커널의 수행 기능에 해당하는 것으로만 나열된 것은?
43. 현재 헤드 위치가 53에 있고 트랙 0번 방향으로 이동 중이었다. 요청 대기 큐에는 다음과 같은 순서의 액세스 요청이 대기 중일 때 SSTF 스케줄링 알고리즘을 사용한다면 가장 마지막에 처리되는 것은?(단, 가장 안쪽 트랙은 0번)
44. FIF0 스케줄링에서 3개의 작업 도착시간과 CPU 사용시간(burst time)이 다음 표와 같다. 이 때 모든 작업들의 평균 반환시간(turn around time)은?
45. 하나의 프로세스가 작업 수행 과정에서 수행하는 기억 장치 접근에서 지나치게 페이지 폴트가 발생하여 프로세스 수행에 소요되는 시간보다 페이지 이동에 소요되는 시간이 더 커지는 현상은?
46. 주기억장치 배치 전략 기법으로 최적 적합 방법을 사용한다고 할 때, 다음과 같은 기억장소 리스트에서 17k 크기의 작업은 어느 기억공간에 할당되는가?(단, 탐색은 위에서 아래로 한다.)
47. 운영체제의 수행 기능으로 옳은 내용 모두를 나열한 것은?
48. 3개의 페이지 프레임(Frame)을 가진 기억장치에서 페이지 요청을 다음과 같은 페이지 번호 순으로 요청했을 때 교체 알고리즘으로 FIF0 방법을 사용한다면 몇 번의 페이지 부재(Fault)가 발생하는가?(단, 현재 기억장치는 모두 비어 있다고 가정한다.)
49. 다음 설명에 해당하는 디렉토리 구조는?
50. 로더(Loader)의 종류 중 로더의 역할이 축소되어 가장 간단한 프로그램으로 구성된 로더로서, 기억장소 할당이나 연결을 프로그래머가 직접 지정하는 방식이며 프로그래머 입장에서는 매우 어렵고 한번 지정한 주기억장소의 위치는 변경이 힘들다는 단점이 있는 것은?
51. 파일 디스크립터(File Descriptor)의 내용으로 거리가 먼 것은?
52. UNIX에서 파일 내용을 화면에 표시하는 명령과 파일의 소유자를 변경하는 명령을 순서적으로 옳게 나열한 것은?
53. 운영체제의 운영 기법 중 동시에 프로그램을 수행할 수 있는 CPU를 두 개 이상 두고 각각 그 업무를 분담하여 처리할 수 있는 방식을 의미하는 것은?
54. HRN 방식으로 스케줄링 할 경우, 입력된 작업이 다음과 같을 때 우선순위가 가장 높은 것은?
55. UNIX의 특징으로 옳은 내용 모두를 나열한 것은?
56. 매크로 프로세서 처리과정으로 옳은 것은?
57. 레코드가 직접 액세스 기억장치의 물리적 주소를 통해 직접 액세스 되는 파일 구조는?
58. 하이퍼큐브에서 하나의 프로세서에 연결되는 다른 프로세서의 수가 4개일 경우 필요한 총 프로세서의 수는?
59. 구역성(Locality)에 대한 설명으로 옳지 않은 것은?
60. 다중 처리기 운영체제 구성에서 주/종(Master/Slave)처리기 시스템에 대한 설명으로 옳지 않은 것은?
4과목: 소프트웨어 공학
61. 바람직한 설계 지침이 아닌 것은?
62. 소프트웨어 개발 방법론에서 구현(Implementation)에 대한 설명으로 가장 적절한 것은?
63. 다음의 객체지향 기법에 관한 설명에서 ( ) 안 내용으로 공통 적용될 수 있는 것은?
64. 최종 사용자가 여러 장소의 고객 위치에서 소프트웨어에 대한 검사를 수행하는 검증 검사 기법의 종류는?
65. 소프트웨어 위기 발생요인과 거리가 먼 것은?
66. 블랙박스 테스트 기법에 해당하는 내용 모두를 나열한 것은?
67. 소프트웨어 품질 목표 중 정확하고 일관된 결과를 얻기 위하여 요구된 기능을 오류 없이 수행하는 정도를 나타내는 것은?
68. 소프트웨어 컴포넌트(Component) 재사용의 이점이라고 볼 수 없는 것은?
69. 상향식 통합 검사에 대한 설명으로 옳지 않은 것은?
70. 브룩스(Brooks) 법칙의 의미로 가장 적절한 것은?
71. 럼바우 분석 기법에서 정보 모델링이라고도 하며, 시스템에서 요구되는 객체를 찾아내어 속성과 연산 식별 및 객체들 간의 관계를 규정하여 객체 다이어그램으로 표시하는 모델링은?
72. 프로젝트 수행시 민주주의적 팀(Democratic Teams) 구성에 대한 내용에 해당하는 것은?
73. 유지보수의 종류 중 소프트웨어 테스팅 동안 밝혀지지 않은 모든 잠재적인 오류를 찾아 수정하는 활동에 해당하는 것은?
74. 객체지향 시스템에서 자료부분과 연산(또는 함수)부분 등 정보처리에 필요한 기능을 한 테두리에 묶는 것을 무엇이라고 하는가?
75. CASE(Computer Aided Software Engineering)에 대한 설명으로 옳지 않은 것은?
76. 프로토타입 모형(Prototyping Model)에 대한 설명으로 옳지 않은 것은?
77. 소프트웨어 역공학(Software reverse engineering)에 대한 설명으로 옳지 않은 것은?
78. 소프트웨어 재공학의 주요 활동 중 다음 설명에 해당하는 것은?
79. 소프트웨어 프로젝트 관리를 효율적으로 수행하기 위한 3p 중 소프트웨어 프로젝트를 수행하기 위한 Framework 의 고려와 가장 연관되는 것은?
80. DFD(Data Flow Diagram)에 대한 설명으로 거리가 먼 것은?
5과목: 데이터 통신
81. 다음은 OSI(Open System Interconnection) 7계층 중 어떤 계층에 대한 설명인가?
82. HDLC에서 비트 스터핑(Bit Stuffing)의 수행 목적으로 옳은 것은?
83. OSI 7계층 중 네트워크 가상 터미널(network virtual terminal)이 존재하여 서로 상이한 프로토콜에 의해 발생하는 호환성 문제를 해결하는 계층은?
84. LAN의 매체 접근 제어 방식에 해당하지 않는 것은?
85. 전송할 데이터가 있는 채널만 차례로 시간 슬롯을 이용하여 데이터와 함께 주소정보를 헤더로 붙여 전송하는 다중화 방식은?
86. 다음이 설명하고 있는 전송 방식은?
87. 데이터 링크 제어 프로토콜 중 PPP(Point to Point Protocol)에 대한 설명으로 틀린 것은?
88. HDLC에서 프레임의 시작과 끝을 정의하는 것은?
89. 블루투스(Bluetooth)의 프로토콜 스택에서 물리계층을 규정하는 것은?
90. HDLC(High-level Data Link Control)의 세 가지 동작 모드 중 다음 설명에 해당하는 것은?
91. TCP/IP 모델의 인터넷 계층 프로토콜로 맞는 것은?
92. 다음 ( )안에 들어갈 알맞은 용어는?
93. X.25에서 오류 제어와 흐름 제어, 가상 회선의 설정과 해제, 다중화 기능, 망 고장 발생 시 회복 메커니즘을 규정하는 계층은?
94. 다음이 설명하고 있는 것은?
95. IP 프로토콜의 특징으로 옳지 않은 것은?
96. 송/수신측 간의 전송 경로 중 최적의 패킷 교환 경로를 설정하는 기능인 경로의 설정 요소가 아닌 것은?
97. 동기식 문자 지향 프로토콜 프레임에서 전송될 문자의 시작을 나타내는 제어 문자는?
98. OSI-7 계층 중 물리계층에서 규정한 특성이라고 할 수 없는 것은?
99. 비동기식 전달모드(ATM)에 사용되는 ATM cell 의 헤더와 유료부하(payload)의 크기는 각각 몇 옥텟(octet)인가?
100. 다음이 설명하고 있는 라우팅 프로토콜은?
PASS 1에서는 첫 번째 원소와 두 번째 원소를 비교하여 큰 값을 뒤로 보내고, 두 번째 원소와 세 번째 원소를 비교하여 큰 값을 뒤로 보냅니다. 이런 식으로 마지막 원소까지 비교하면 가장 큰 값이 맨 뒤로 이동합니다.
따라서 PASS 1의 결과는 "6, 9, 7, 3, 5"가 됩니다.
보기에서 정답인 "6, 7, 3, 5, 9"는 PASS 1을 한 번 더 수행한 결과입니다. 첫 번째 원소와 두 번째 원소를 비교하여 큰 값을 뒤로 보내고, 두 번째 원소와 세 번째 원소를 비교하여 큰 값을 뒤로 보내는 과정을 반복하면 됩니다.
따라서 "6, 9, 7, 3, 5"에서 9와 7을 비교하여 7이 더 작으므로 위치를 바꾸고, 9와 3을 비교하여 3이 더 작으므로 위치를 바꾸고, 9와 5를 비교하여 5가 더 작으므로 위치를 바꾸면 "6, 7, 3, 5, 9"가 됩니다.