1과목: 데이터 베이스
1. 시스템 카탈로그에 대한 설명으로 옳지 않은 것은?
2. DBMS의 필수기능 중 정의기능이 갖추어야 할 요건에 해당하는 것은?
3. 관계대수에 대한 설명으로 옳지 않은 것은?
4. 정규화의 필요성으로 거리가 먼 것은?
5. SQL의 명령은 사용 용도에 따라 DDL, DML, DCL로 구분할 수 있다. 다음 명령 중 그 성격이 나머지 셋과 다른 것은?
6. 정규화 과정에서 발생하는 이상(Anomaly)에 관한 설명으로 옳지 않은 것은?
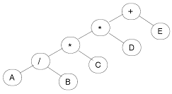
7. 다음 트리를 후위 순회한 결과는?
8. Which of the following is not a property of the transaction to ensure integrity of the data?
9. 데이터베이스의 물리적 설계 옵션 선택시 고려 사항으로 거리가 먼 것은?
10. 분산 데이터베이스에 대한 설명으로 거리가 먼 것은?
11. 릴레이션의 특징으로 옳지 않은 것은?
12. 물리적 데이터베이스 설계 수행시 결정사항으로 거리가 먼 것은?
13. 데이터베이스 보안에 대한 설명으로 옳지 않은 것은?
14. 다음 초기 자료에 대하여 selection sort를 이용하여 오름차순 정렬할 경우 2회전 후의 결과는?
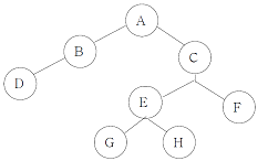
15. 다음 그림에서 트리의 차수(degree)는?
16. 병행제어 기법 중 로킹에 대한 설명으로 옳지 않은 것은?
17. 데이터베이스의 특성 중 다음 설명에 해당하는 것은?
18. 뷰(view)에 대한 설명으로 옳지 않은 것은?
19. What is the degree of a relation?
20. 스택의 자료 삭제 알고리즘이다. ( ) 안 내용으로 가장 적합한 것은?(단, Top : 스택포인터, S : 스택의 이름)
2과목: 전자 계산기 구조
21. Interrupt cycle에 대한 micro-operation 중에서 관계가 없는 것은?
22. minterm으로 표시된 다음 boolean function을 간략화 한 것은?(단, d 함수는 don't care 임)
23. 3주소 명령어 연산에서 결과는 어디에 저장되는가?
24. 입출력 방법 가운데 메모리 내에 있는 I/O를 위한 특별한 명령어를 I/O 프로세서에게 수행토록 하여 CPU 관여없이 I/O를 수행하는 방법은?
25. 유효자리에는 4자리, 지수에는 2자리까지 저장할 수 있는 시스템에서 (1.110*1010) * (9.200*10-5)의 부동소수점 곱셈을 계산한 결과를 올바르게 표시한 것은?(단, IEEE 754 정규화 표현에 따르며 바이어스 등은 고려하지 않음)
26. 다음 전가산기의 진리표 중 출력 캐리(C2)의 값은?
27. 다음은 팩(pack)형식의 10진수를 16진수로 나타낸 것이다. A와B의 덧셈 연산의 결과는?
28. 인터럽트의 우선 순위 결정과 관련이 적은 것은?
29. cycle steal 과 interrupt에 관한 설명 중 옳은 것은?
30. 8비트 메모리 워드에서 비트패턴 (1110 1101)2는 “① 부호 있는 절대치(signed magnitude), ② 부호와 1의 보수, ③ 부호와 2의 보수” 로 해석될 수 있다. 각각에 대응되는 10진수를 순서대로 나타낸 것은?
31. 피연산자의 위치(기억 장소)에 따라 명령어 형식을 분류할 때 instruction cycle time이 가장 짧은 명령어 형식은?
32. 컴퓨터 연산에서 단항(unary) 연산에 해당되지 않는 것은?
33. 부동 소수점인 두 수의 나눗셈을 위한 순서를 올바르게 나열한 것은?
34. 채널 명령어의 구성 요소가 아닌 것은?
35. 하나 이상의 프로그램 또는 연속되어 있지 않은 저장 공간으로부터 데이터를 모은 다음, 데이터들을 메시지 버퍼에 넣고, 특정 수신기나 프로그래밍 인터페이스에 맞도록 그 데이터를 조직화 하거나 미리 정해진 다른 형식으로 변환하는 과정을 일컫는 것은?
36. 다음 중 부프로그램과 매크로(Macro)의 공통점은?
37. 일반적인 컴퓨터와 달리 명령어를 실행할 때 실행할 명령어의 순서와 상관없이 단지 피연산자의 준비여부에 따라 실행되며, 데이터의 종속 여부에 따라 수행 순서가 결정되는 방식으로 이론상으로 최대의 병렬성을 얻을 수 있는 컴퓨터 구조는?
38. 메이저 스테이트 중 하드웨어로 실현되는 서브루틴의 호출이라고 볼 수 있는 것은?
39. 동기고정식 마이크로 오퍼레이션 제어의 특성이 아닌 것은?
40. 마이크로 오퍼레이션(micro-operation)의 설명으로 옳지 않은 것은?
3과목: 운영체제
41. 운영체제에 대한 설명으로 옳지 않은 것은?
42. 시스템을 설계할 때 최적의 페이지 크기에 관한 결정이 이루어져야 한다. 페이지 크기에 관한 설명으로 옳지 않은 것은?
43. 다음의 페이지 참조 열(Page reference string)에 대해 페이지 교체 기법으로 FIFO를 사용할 경우 페이지 폴트 회수는?(단, 할당된 페이지 프레임 수는 3 이고, 처음에는 모든 프레임이 비어 있음)
44. UNIX에서 쉘(Shell)에 대한 설명으로 옳지 않은 것은?
45. 사이클이 허용되고, 불필요한 파일제거를 위해 참조 카운터가 필요한 디렉토리 구조는?
46. 페이징 기법과 세그먼테이션 기법에 대한 설명으로 옳지 않은 것은?
47. 절대로더에서 각 기능과 수행 주체의 연결이 옳지 않은 것 은?
48. 다중 처리기 운영체제 구조 중 주/종(Master/Slave)처리기 시스템에 대한 설명으로 옳지 않은 것은?
49. 운영체제의 발달과정 순서를 옳게 나열한 것은?
50. 파일 디스크립터(File Descriptor)에 대한 설명으로 옳지 않은 것은?
51. 128개의 CPU로 구성된 하이퍼큐브에서 각 CPU는 몇 개의 연결점을 갖는가?
52. 프로세스의 정의로 거리가 먼 것은?
53. 주기억장치 관리기법으로 최악 적합(Worst-fit) 방법을 이용할 경우 10K 크기의 프로그램은 다음과 같이 분할되어 있는 주기억장치 중 어느 부분에 할당되어야 하는가?
54. 다음과 같은 3개의 작업에 대하여 FCFS 알고리즘을 사용할 때, 임의의 작업 순서로 얻을 수 있는 최대 평균 반환시간을 T, 최소 평균 반환 시간을 t 라고 가정했을 경우 T - t 의 값은?
55. UNIX에서 파일에 대한 정보를 갖고 있는 inode의 내용으로 볼 수 없는 것은?
56. 다음 중 가장 바람직한 스케줄링 정책은?
57. UNIX에서 파일의 사용 허가를 정하는 명령은?
58. HRN(Highest Response-ratio Next) 스케줄링 방식에 대한 설명으로 옳지 않은 것은?
59. 분산 처리 운영체제 시스템의 구축 목적으로 거리가 먼 것은?
60. 파일 보호 기법 중 다음 설명에 해당하는 것은?
4과목: 소프트웨어 공학
61. 설계품질을 평가하기 위해서는 반드시 좋은 설계에 대한 기준을 세워야 한다. 다음 중 좋은 기준이라고 할 수 없는 것은?
62. 사용자 인터페이스 설계시 오류 메시지나 경고에 관한 지침으로 옳지 않은 것은?
63. 소프트웨어 품질 목표 중 소프트웨어를 다른 환경으로 이식할 경우에도 운용 가능하도록 쉽게 수정될 수 있는 시스템 능력을 의미하는 것은?
64. 효과적인 프로젝트 관리를 위한 3P를 옳게 나열한 것은?
65. 소프트웨어 공학에 대한 적절한 설명이 아닌 것은?
66. 유지보수의 종류 중 소프트웨어를 운용하는 환경 변화에 대응하여 소프트웨어를 변경하는 경우로써 운영체제나 컴파일러와 같은 프로그래밍 환경의 변화와 주변장치 또는 다른 시스템 요소가 향상되거나 변경될 때 대처할 수 있는 것은?
67. 블랙 박스 테스트 기법 중 다음 설명에 해당하는 것은?
68. 바람직한 설계 지침이 아닌 것은?
69. 객체지향 설계에 대한 설명으로 옳지 않은 것은?
70. 소프트웨어 재사용에 대한 설명으로 옳지 않은 것은?
71. 4명의 개발자가 5개월에 걸쳐 10000 라인의 코드를 개발하였을 때, 월별(person-month) 생산성 측정을 위한 계산 방식으로 가장 적합한 것은?
72. 소프트웨어 재공학 활동 중 기본 소프트웨어의 명세서를 확인하여 소프트웨어의 동작을 이해하고 재공학 대상을 선정하는 것은?
73. 객체지향 시스템에서 자료부분과 연산(또는 함수)부분 등 정보처리에 필요한 기능을 한 테두리로 묶는 것을 무엇이라고 하는가?
74. 소프트웨어 역공학(Software reverse engineering)에 대한 설명으로 옳지 않은 것은?
75. 소프트웨어 위기 발생 요인과 거리가 먼 것은?
76. 소프트웨어의 특징에 대한 설명으로 옳지 않은 것은?
77. 브룩스(Brooks)의 법칙에 해당하는 것은?
78. 자료 사전에서 기호 “( )” 의 의미는?
79. 람바우의 모델링에서 상태도와 자료흐름도는 각각 어떤 모델링과 관련 있는가?
80. 다음 중 소프트웨어 개발 영역을 결정하는 요소에 해당하는 항목 모두를 옳게 나열한 것은?
5과목: 데이터 통신
81. OSI-7계층 중 프로세스간의 대화 제어(dialogue control) 및 동기점(synchronization point)을 이용한 효율적인 데이터 복구를 제공하는 계층은?
82. 다음이 설명하고 있는 데이터 링크 제어 프로토콜은?
83. 시분할 다중화(Time Division Multiplexing)의 설명으로 틀린 것은?
84. 일반적으로 불균형적인 멀티 포인트(Multi-point) 링크 구성에서 회선제어를 할 때 주국(Primary Station)이 각 보조국(Secondary station)에게 데이터를 요청하는 방법은?
85. 토큰 패싱 방식에서 토큰에 대하여 가장 올바르게 설명한 것은?
86. X.25는 ITU-T 표준으로 호스트 시스템과 패킷 교환망간 인터페이스를 규정하고 있다. 이 기능에 포함되지 않는 것은?
87. 다음이 설명하고 있는 것은?
88. 다음이 설명하고 있는 에러 검출 방식은?
89. 아날로그 데이터를 디지털신호로 변환하는 변조방식은?
90. 외부 라우팅 프로토콜로서 AS(Autonomous System)간의 라우팅 테이블을 전달하는데 주로 이용되는 것은?
91. 다음 중 부정적 응답에 해당하는 전송제어 문자는?
92. OSI 참조 모델에서 계층을 나누는 목적으로 가장 거리가 먼 것은?
93. TCP 프로토콜의 플래그(제어) 비트에 대한 설명으로 틀린 것은?
94. HDLC는 링크 구성 방식에 따라 세 가지 동작 모드를 가진다. 이에 해당하지 않는 것은?
95. 다중접속방식에 해당하지 않는 것은?
96. 데이터링크 프로토콜인 HDLC에서 프레임의 동기를 제공하기 위해 사용되는 구성 요소는?
97. 다음 중 자유경쟁으로 채널 사용권을 확보하는 방법으로 노드 간의 충돌을 허용하는 네트워크 접근 방법은?
98. 도착한 메시지를 일단 저장한 후 다음 노드로 가는 링크가 비어 있으면 전송해 나가는 교환 방식은?
99. IEEE 802 표준에서는 데이터 링크 계층을 MAC, LLC 두 개의 부 계층으로 나누고 있다. 이 중에서 MAC 부 계층의 역할은?
100. GO-Back-N ARQ에서 7번째 프레임까지 전송하였는데 수신측에서 4번째 프레임에 오류가 있다고 재전송을 요청해 왔다. 재전송 되는 프레임의 개수는?