1과목: 데이터 베이스
1. 데이터베이스의 특성으로 옳지 않은 것은?
2. 순서가 A, B, C, D 로 정해진 입력 자료를 스택에 입력하였다가 출력한 결과로 가능한 것이 아닌 것은?
3. Which of the following is not a function of the DBA?
4. 데이터베이스 설계 순서로 옳은 것은?
5. Which of the following does not belong to the DML statement of SQL?
6. 릴레이션 R1에 저장된 튜플이 릴레이션 R2에 있는 튜플을 참조하려면 참조되는 튜플이 반드시 R2에 존재해야 한다는 무결성 규칙은?
7. 시스템카탈로그에 대한 설명으로 옳지 않은 것은?
8. 관계대수에 대한 설명으로 옳은 내용 모두를 나열한 것은?
9. 로킹(locking)단위에 대한 설명으로 옳지 않은 것은?
10. DBMS의 필수기능 중 정의기능에 해당하는 것은?
11. 다음 자료에 대하여 “selection sort"를 사용하여 오름차순으로 정렬할 경우 PASS1의 결과는?
12. 뷰(VIEW)에 대한 설명 중 옳지 않은 내용으로만 나열된 것은?
13. 3NF에서 BCNF가 되기 위한 조건은?
14. 개체-관계 모델 (E-R Model)에 관한 설명으로 옳지 않은 것은?
15. 데이터베이스 설계 단계 중 물리적 설계의 옵션 선택 시 고려 사항으로 거리가 먼 것은?
16. 릴레이션의 특징으로 옳은 내용 모두를 나열한 것은?
17. 트랜잭션(Transaction)은 보통 일련의 연산 집합이란 의미로 사용하며 하나의 논리적 기능을 수행하는 작업의 단위이다. 트랜잭션이 가져야 할 특성으로 거리가 먼 것은?
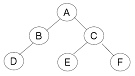
18. 다음 트리에 대한 INORDER 운행 결과는?
19. 스택 알고리즘에서 T가 스택 포인터이고, m이 스택의 길이일 때, 서브루틴 “AA"가 처리해야 하는 것은?
20. 데이터 모델의 구성 요소 중 데이터베이스에 표현될 대상으로서의 개체 타입과 개체 타입들 간의 관계를 기술한 것을 의미하는 것은?
2과목: 전자 계산기 구조
21. 다음과 같은 값을 가지는 시스템에서 2계층 캐시 메모리를 사용할 경우는 그렇지 않은 경우에 비해 평균 메모리 액세스 시간이 약 몇 배 향상되는가?
22. 다음 중 IEEE 754에 대한 설명으로 옳은 것은?
23. 하드웨어 신호에 의하여 특정 번지의 서브루틴을 수행하는 것은?
24. 디코더(Decoder)로 전가산기 회로를 설계하고자 한다. 설계에 필요한 IC는?
25. 4비트로 자료를 표시할 때 2진화 16진수는 이진화십진수(BCD)에 비해 몇 개를 더 표시할 수 있는가?
26. flynn의 분류법 중 여러 개의 처리기에서 수행되는 인스트럭션(instruction)들은 각기 다르나 전체적으로 하나의 데이터 스트림을 가지는 형태는?
27. 컴퓨터의 제어 장치에 일반적으로 포함되지 않는 것은?
28. 32비트의 가상 주소, 4KB 페이지, 페이지 테이블 엔트리당 4바이트로 된 페이지 테이블에 대해 전체 페이지 테이블의 크기는 얼마인가?
29. 다음 중 1-주소 명령어 형식을 따르는 명령어 MULA를 가장 적절하게 설명한 것은? (단, M[A]는 기억장치와 A번지의 내용을 의미하고 MUL은 곱셈을 나타낸다.)
30. 메모리 인터리빙(interleaving)의 설명이 아닌 것은?
31. 입력이 A, B, C인 다음 논리식을 입력이 2개인 NAND게이트만으로 회로를 구성할 경우, 최소 몇 개의 NAND게이트가 필요한가?
32. 인터럽트 작동 순서가 올바른 것은?
33. 서로 다른 17개의 정보가 있다. 이 중에서 하나를 선택하려면 최소 몇 개의 비트가 필요한가?
34. 주기억장치로부터 캐시 메모리로 데이터를 전송하는 매핑 프로세스 방법이 아닌 것은?
35. 컴퓨터에서 명령어를 처리하기 위해서 명령어를 CPU에 옮긴 후 명령 레지스터(IR)에 셋(set)시켜 해독하는 단계는?
36. CPU가 어떤 명령과 다음 명령을 수행하는 사이를 이용하여 하나의 데이터 워드를 직접 전송하는 DMA방식을 무엇이라고 하는가?
37. 입출력 인터페이스를 사용해야 하는 이유로 틀린 것은?
38. 입출력 제어방식에 대한 설명으로 가장 거리가 먼것은?
39. 어느 컴퓨터의 기억 용량이 1Mbyte이다. 이 때 필요한 주소선의 수는?
40. 모든 하드디스크 제조사들은 IDEMA를 통해 기존 512바이트 섹터 표준을 어떻게 변경하여야 하는가?
3과목: 운영체제
41. 페이지 교체기법 알고리즘 중 각 페이지마다 “Reference Bit"와 “Modified Bit"가 사용되는 것은?
42. PCB(Process Control Block)가 갖고 있는 정보가 아닌 것은?
43. HRN 방식으로 스케줄링 할 경우, 입력된 작업이 다음과 같을 때 우선순위가 가장 높은 것은?
44. 분산 운영체제의 목적으로 거리가 먼 것은?
45. 스레드(Thread)에 대한 설명으로 거리가 먼 것은?
46. UNIX 시스템에서 커널의 수행 기능에 해당하지 않는 것은?
47. UNIX 파일시스템 구조에서 데이터가 저장된 블록의 시작 주소를 확인할 수 있는 블록은?
48. 3개의 페이지 프레임을 갖는 시스템에서 페이지 참조 순서가 1, 2, 1, 0, 4, 1, 3일 경우 FIFO 알고리즘에 의한 페이지 대치의 최종 결과는?
49. 프로세서의 상호 연결 구조 중 하이퍼 큐브 구조에서 각 CPU가 4개의 연결점을 가질 경우 CPU의 총 개수는?
50. 레코드가 직접 액세스 기억장치의 물리적 주소를 통해 직접 액세스 되는 파일 구조는?
51. 파일 구성 방식 중 ISAM(Indexed Sequential Access- Method)의 물리적인 색인 구성은 디스크의 물리적 특성에 따라 색인(index)을 구성하는데, 다음 중 3단계 색인에 해당되지 않는 것은?
52. 파일 시스템에 대한 설명으로 틀린 것은?
53. 로더(Loader)의 종류 중 다음 설명에 해당하는 것은?
54. 다중 처리기 운영체제 형태 중 주/종(Master/Slave) 처리기에 대한 설명으로 옳지 않은 것은?
55. UNIX 시스템의 특징으로 옳지 않은 것은?
56. 현재 헤드 위치가 53에 있고 트랙 0번 방향으로 이동 중이다. 요청 대기 큐에는 다음과 같은 순서의 액세스 요청이 대기 중일 때 SSTF 스케줄링 알고리즘을 사용 한다면 헤드의 총 이동 거리는 얼마인가?
57. 운영체제의 목적으로 적절하지 않은 것은?
58. 주기억장치 배치 전략 기법으로 최적 적합 방법을 사용한다고 할 때, 다음과 같은 기억장소 리스트에서 10K 크기의 작업은 어느 기억공간에 할당되는가? (단, 탐색은 위에서 아래로 한다.)
59. 운영체제의 운용 기법 종류 중 다음 설명에 해당하는 것은?
60. 페이징 기법에서 페이지 크기가 작아질수록 발생하는 현상으로 거리가 먼 것은?
4과목: 소프트웨어 공학
61. 소프트웨어 위기를 가져온 원인에 해당하지 않는 것은?
62. 캡슐화에 대한 설명으로 틀린 것은?
63. 효과적인 프로젝트 관리를 위한 3P를 옳게 나열한 것은?
64. 소프트웨어 품질 목표 중 하나 이상의 하드웨어 환경에서 운용되기 위해 쉽게 수정될 수 있는 시스템 능력을 의미하는 것은?
65. 다음 중 가장 강한 결합도 상태는?
66. 바람직한 소프트웨어 설계 지침이 아닌 것은?
67. 람바우의 객체 지향 분석 모델링(modeling)에 해당 하지 않는 것은?
68. 재공학(Reengineering) 활동으로 볼 수 없는 것은?
69. 소프트웨어 형상관리의 대상으로 거리가 먼 것은?
70. 객체에게 어떤 행위를 하도록 지시하는 명령은?
71. 소프트웨어의 특성이 아닌 것은?
72. FTR의 지침 사항으로 거리가 먼 것은?
73. 소프트웨어의 재사용으로 인한 효과와 거리가 먼 것은?
74. 소프트웨어 역공학(Software reverse engineering)에 대한 설명으로 옳지 않은 것은?
75. 자료 사전(Data Dictionary)에서 자료의 반복을 나타내는 기호는?
76. 블랙 박스 검사 기법에 해당하는 것으로만 짝지어진 것은?
77. 유지보수의 종류 중 소프트웨어 검사 단계에서 밝혀지지 않은 모든 잠재적인 오류를 수정하기 위한 보수형태로서 오류의 진단과 수정이 포함되는 것은?
78. 데이터 흐름도(DFD)의 구성요소에 포함되지 않는 것은?
79. 소프트웨어 프로젝트 계획 수립시 소프트웨어 영역(범위) 결정의 주요 요소로 거리가 먼 것은?
80. 다음 검사 중 알파검사, 베타검사와 가장 관계가 있는 것은?
5과목: 데이터 통신
81. IETF에서 고안한 IPv4에서 IPv6로 전환(천이)하는데 사용되는 전략이 아닌 것은?
82. 무선 LAN, Wi-Fi(Wireless Fidelity)의 표준(규격) 제정을 담당하는 IEEE 워킹그룹은?
83. 인터넷 응용서비스 중 가상 터미널(Virtual Terminal) 기능을 갖는 것은?
84. HDLC의 프레임 중 링크의 설정과 해제, 오류 회복을 위해 주로 사용되는 것은?
85. 블루투스(Bluetooth)의 프로토콜 스택에서 물리계층을 규정하는 것은?
86. TCP/IP에서 사용되는 논리주소를 물리주소로 변환시켜 주는 프로토콜은?
87. 다음은 여러 가지 교환방식의 특징 중 “연결 설정”에 대해 나타내었다. [보기]에서 ( )안에 들어갈 알맞은 내용을 차례대로 나열한 것은?
88. 전송할 데이터가 있는 채널만 차례로 시간 슬롯을 이용하여 데이터와 함께 주소정보를 헤더로 붙여 전송하는 다중화 방식은?
89. 가상회선 패킷교환에 대한 설명으로 옳지 않은 것은?
90. PPP(Point-to-Point Protocol)에 대한 설명으로 틀린 것은?
91. HDLC를 기반으로 하며, ISDN의 D채널을 위한 링크 제어 프로토콜로 사용되는 것은?
92. ICMP(Internet Control Message Protocol)에 관한 설명으로 틀린 것은?
93. RTCP(Real-Time Control Protocol)의 특징으로 옳지 않은 것은?
94. IEEE 802.4의 표준안 내용으로 옳은 것은?
95. 일반적으로 동기식 시분할 다중화 방식에서 음성전화 채널 당 8bit씩 매 125㎲마다 할당한다면 데이터 전송률은?
96. X.25 프로토콜에 대한 설명으로 틀린 것은?
97. 다음이 설명하고 있는 전송기술은?
98. 채널용량(Channel Capacity)에 대한 설명으로 틀린 것은?
99. 다음 중 TCP 헤더에 포함되는 정보가 아닌 것은?
100. 동기전송 방식에서 주로 사용되는 오류검출 방식으로 프레임 단위로 오류검출을 위한 코드를 계산하여 프레임 끝에 FCS를 부착하는 것은?