1과목: 전자계산기 프로그래밍
1. C 언어에서 이스케이프 시퀀스의 설명이 옳지 않은 것은?
2. C 언어의 관계연산자 중 우선순위가 나머지 셋과 다른 하나는?
3. 어셈블리 명령에서 관계연산자가 아닌 것은?
4. 기계어에 대한 설명 중 가장 옳지 않은 것은?
5. C 언어에서 부호 없는 10진수 출력 명령에 사용되는 것은?
6. C 언어에서 표준 입력인 키보드로부터 문자열을 지정된 양식에 따라 읽어 변수 값을 문자열로 변환시켜 주는 함수는 무엇인가?
7. 어셈블리어에서 라이브러리에 기억된 내용을 프로시저로 정의하여 서브루틴으로 사용하는 것과 같이 사용할 수 있도록 그 내용을 현재의 프로그램 내에 포함시켜 주는 명령은?
8. 시스템 프로그래밍에 가장 적합한 고급 언어는?
9. 객체의 성질을 분해하고, 공통된 성질을 추출하여 슈퍼 클래스를 설정하는 일을 무엇이라 하는가?
10. 다음 프로그래밍 언어 중 객체지향 언어로 볼 수 없는 것은?
11. 객체지향프로그래밍(OOP)에서 전통적 시스템의 함수 또는 프로시저에 해당하는 연산 기능을 무엇이라고 하는가?
12. 작성된 표현식이 BNF의 정의에 의해 바르게 작성되었는지를 확인하기 위하여 만든 트리는?
13. C 언어에서 논리 곱(AND)을 나타내는 논리 연산자는?
14. 어셈블리언어에 대한 설명으로 가장 옳지 않은 것은?
15. 객체지향프로그래밍(OOP)에서 데이터와 이 데이터를 조작하는 연산들이 하나의 모듈 내에서 결합되도록 하는 것을 무엇이라 하는가?
16. 어셈블리어에서 논리적인 비교와 결과가 양수 또는 음수인지를 검사하여 상태 레지스터의 상태 비트를 설정하는 명령은?
17. 주 프로그램의 매개변수(parameter)가 부프로그램으로 넘어갈 때 실제 값이 전달되는 방식은?
18. C 언어의 비트 연산자가 아닌 것은?
19. 프로그램 제어방법 중 반복문과 가장 거리가 먼 것은?
20. 다음 제시된 프로그램의 수행 과정에 대한 순서가 옳은 것은?
2과목: 자료구조 및 데이터통신
21. 양자화 스텝수가 5비트이면 양자화 계단수는?
22. 실제 표본값과 추정 표본값과의 차이만을 양자화하는 방식으로 1bit 양자화를 수행하는 방식은?
23. 채널 대역폭이 1MHz이고 S/N이 1일 때 채널용량(Mb/s)은?
24. TCP 프로토콜을 사용하는 응용 계층의 서비스가 아닌 것은?
25. IP 주소로부터 물리적 주소로 변환하는 프로토콜은?
26. 수신된 부호어의 해밍거리가 6일 때 검출할 수 있는 에러 개수는?
27. 2 out of 5 부호를 이용하여 에러를 검출하는 방식은?
28. 다중화 방식 중 타임 슬롯(time slot)을 사용자의 요구에 따라 동적으로 할당하여 데이터를 전송할 수 있는 것은?
29. QPSK(Quadrature PSK) 변조방식에서 변화되는 위상차는?
30. OSI-7계층 중 프로세스간의 대화 제어(dialogue control) 및 동기점(synchronization point)을 이용한 효율적인 데이터 복구를 제공하는 계층은?
31. 해싱(hashing)에서 동일한 버켓 주소를 갖는 레코드들의 집합을 의미하는 것은?
32. 제일 먼저 입력된 원소가 우선적으로 출력되며, 원소의 삽입은 뒤(rear)에서, 삭제는 앞(front)에서 이루어지는 자료 구조는?
33. 다음 산술식을 Postfix로 옳게 표현한 것은?
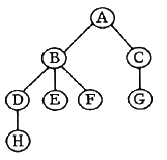
34. 다음 그림에서 트리의 차수(degree)는?
35. 데이터베이스의 3단계 스키마에 해당하지 않는 것은?
36. 색인 순차 파일의 색인 구역에 해당하지 않는 것은?
37. 다음 자료에 대한 버블 정렬을 사용하여 오름차순 정렬할 경우 1회전 후의 결과는?
38. 스택의 응용 분야와 거리가 먼 것은?
39. 주어진 파일에서 인접한 2개의 레코드 키 값을 비교하여 그 크기에 따라 레코드 위치를 서로 교환하는 정렬 방식은?
40. 선형 자료 구조에 해당하지 않는 것은?
3과목: 전자계산기구조
41. 하드 디스크 드라이브(HDD)와 컴퓨터 메인보드 간의 연결에 사용되는 인터페이스 방식이 아닌 것은?
42. 다음 중 연산 속도가 가장 빠른 주소 지정 방식(Addressing Mode)은?
43. 채널을 이용한 입출력 제어 방식의 특징으로 가장 옳지 않은 것은?
44. 하나 이상의 프로그램 또는 연속되어 있지 않은 저장 공간으로부터 데이터를 모은 다음, 데이터들을 메시지 버퍼에 넣고, 특정 수신기나 프로그래밍 인터페이스에 맞도록 그 데이터를 조직화하거나 미리 정해진 다른 형식으로 변환하는 과정을 일컫는 것은?
45. 데이터를 고속으로 처리하기 위해 연산 장치를 병렬로 구성한 처리 구조로 벡터 계산이나 행렬 계산에 주로 사용되는 프로세서의 명칭으로 가장 옳은 것은?
46. 캐시 기억 장치에서 적중률이 낮아질 수 있는 매핑 방법은?
47. 다음 명령어 사이클에 대한 설명이 가장 옳지 않은 것은?
48. 불 함수식 F=(A+B)ㆍ(A+C)를 가장 간소화한 것은?
49. 중앙처리장치의 기억 모듈에 중복적인 데이터 접근을 방지하기 위해서 연속된 데이터 또는 명령어들을 기억 장치 모듈에 순차적으로 번갈아 가면서 처리하는 방식으로 가장 옳은 것은?
50. CPU에 두 개의 범용 레지스터와 하나의 상태 레지스터가 존재할 때 두 범용 레지스터의 값이 동일한지 조사하기 위한 방법으로 옳은 것은? (단, 그림에 보이는 상태 레지스터 내용을 참조하시오.)
51. 캐시의 각 워드에 카운터를 두고 접근할 때마다 카운터를 증가시키고 제거 시에는 카운터 값이 가장 적은 블록을 제거하는 방식은? (문제 오류로 실제 시험에서는 3,4번이 정답처리 되었습니다. 여기서는 3번을 누르면 정답 처리 됩니다.)
52. 레지스터 사이의 데이터 전송 방법에 대한 설명으로 가장 옳지 않은 것은?
53. 하나의 입력 정보를 여러 개의 출력선 중에 하나를 선택하여 정보를 전달하는데 사용하는 것은?
54. 아래 보기와 같이 명령어에 오퍼랜드 필드를 사용하지 않고 명령어만 사용하는 명령어 형식은?
55. RISC(Reduced Instruction Set Computer)와 CISC(Complex Instruction Set Computer)에 대한 설명 중 가장 옳지 않은 것은?
56. 10진수 3은 3-초과 코드(Excess-3 Code)에서 어떻게 표현되는가?
57. 인터럽트의 처리 루틴의 순서로 올바른 것은?
58. 인터럽트 우선순위를 결정하는 Polling 방식에 대한 설명으로 옳지 않은 것은?
59. 컴퓨터의 중앙 처리 장치(CPU)는 4가지 단계를 반복적으로 거치면서 동작한다. 4가지 단계에 속하지 않는 것은?
60. 프로그램이 가능한 논리 소자로, n개의 입력에 대하여 2n개 이하의 출력을 만들 수 있는 논리회로는?
4과목: 운영체제
61. 운영체제의 발달 과정을 순서대로 옳게 나열한 것은?
62. 운영체제의 기능으로 가장 거리가 먼 것은?
63. 다음 표는 고정 분할에서의 기억장치 단편화(Fragmentation) 현상을 보이고 있다. 외부단편화(External Fragmentation)의 크기는 총 얼마인가? (단, 페이지 크기의 단위는 K를 사용한다.)
64. 스케줄링의 목적으로 가장 거리가 먼 것은?
65. 모니터에 대한 설명으로 옳지 않은 것은?
66. 교착상태의 해결 방법 중 회피(Avoidance) 기법과 가장 밀접한 관계가 있는 것은?
67. 다음은 교착상태 발생조건 중 어떤 조건을 제거하기 위한 것인가?
68. 페이지 대치의 설명으로 가장 옳지 않은 것은?
69. 분산 운영체제에서 사이트(Site) 간 마이그레이션(Migration)의 종류에 해당하지 않는 것은?
70. FIFO와 RR 스케줄링 방식을 혼합한 것으로 상위 단계에서 완료되지 못한 작업은 하위 단계로 전달되어 마지막 단계에서는 RR 방식을 사용하는 것은?
71. 페이지 부재율(Page Fault Ratio)과 스래싱(Thrashing)의 관계에 대한 설명 중 가장 옳은 것은?
72. 운영체제의 운용 기법 중 중앙 처리 장치의 시간을 각 사용자에게 균등하게 분할하여 사용하는 체제로서 모든 컴퓨터 사용자에게 똑같은 서비스를 제공하는 것을 목표로 삼고 있으며, 라운드 로빈 스케줄링을 사용하는 것은?
73. 빈 기억 공간의 크기가 20K, 16K, 8K, 40K 일 때 기억 장치 배치 전략으로 “Best Fit"을 사용하여 17K의 프로그램을 적재할 경우 내부 단편화의 크기는 얼마인가?
74. HRN 방식으로 스케줄링할 경우, 입력된 작업이 다음과 같을 때 우선순위가 가장 높은 것은?
75. PCB(Process Control Block)가 갖고 있는 정보가 아닌 것은?
76. 상호배제(Mutual Exclusion) 기법을 사용하여 임계영역(Critical Region)을 보호하였다. 다음 설명 중 가장 옳지 않은 것은?
77. 프로세스가 전송하는 메시지의 형태가 아닌 것은?
78. 시스템 소프트웨어의 역할로 가장 거리가 먼 것은?
79. UNIX에서 커널의 기능이 아닌 것은?
80. 준비 상태 큐에 프로세스 A, B, C가 차례로 도착하였다. 라운드 로빈(Round Robin)으로 스케줄링할 때 타임 슬라이스를 4초로 한다면 평균 반환 시간은?
5과목: 마이크로 전자계산기
81. 컴파일된 주프로그램, 부프로그램, 자이브러리 서브루틴, 입출력 제어루틴을 연결시켜 하나의 수행 가능한 프로그램으로 만들어 주기억장치에 적재하여 수행시키는 시스템 프로그램은?
82. 다음 그림은 ROM의 기본구성도이다. Ⓐ 부분의 기능에 대한 명칭으로 가장 옳은 것은?
83. 마이크로컴퓨터에서 병렬 입출력 인터페이스가 아닌 것은?
84. 누산기(accumulator)를 clear 하고자 할 때 사용하면 효과적인 명령어는?
85. 보조기억장치에 저장되어 있는 정보를 주기억장치로 읽어오는 작업을 의미하는 것은?
86. 4개의 플립플롭으로 구성한 3비트 리플카운터(ripple counter)는 입력 주파수를 어떤 주파수의 파형으로 변환하는가?
87. 마이크로컴퓨터에서 중앙처리장치와 기억장치, 입·출력장치 간의 데이터를 주고받기 위해 공통으로 연결되는 버스는?
88. 다음 중 캐스케이드(casecade)스택의 특징으로 옳은 것은?
89. 스택을 이용하여 산술식을 표현할 때의 연산자(operator) 표시방법은?
90. 스택에 대한 설명 중 틀린 것은?
91. 다음 그림에 대한 설명 중 틀린 것은?
92. 컴퓨터의 명령에 대한 설명 중 틀린 것은?
93. 마이크로프로세서(MPU)의 구성요소에 속하지 않는 것은?
94. 시스템 소프트웨어에 속하지 않는 것은?
95. 어떤 마이크로컴퓨터 시스템의 버스 사이클과 DMA 전송을 버스트(burst) 방식으로 실행할 경우 10바이트 데이터를 고속 I/O 주변장치의 DMA 전송시 몇 번의 시스템 버스 이양 요청과 양도가 이루어지는가? (단, 이양 요청과 양도를 합하여 1회로 본다.)
96. CPU에서 연산 시 한 개의 오퍼랜드(Operand) 역할을 하고, 연산의 결과가 저장되는 레지스터는?
97. 자료전송 방법에 관한 설명으로 옳지 않은 것은?
98. 어느 프로그램 중 0123 번지에 CALL A 명령이 있다. 이 CALL A를 수행한 후 PC에 기억된 값은? (단, 명령어의 길이는 8비트이다.)
99. 어셈블러의 기능에 해당되지 않는 것은?
100. 주소(address) 버스 A0 ~ A11을 이용해서 저장할 수 있는 기억 용량의 크기는 몇 킬로바이트(kilo byte)인가? (단, 보기에서 kilo byte의 단위는 KB로 표시한다.)