1과목: 전자계산기 프로그래밍
1. 객체지향 기반의 언어가 아닌 것은?
2. 다음의 프로그램을 실행한 결과로 옳은 것은?
3. 프로그램의 작성과정을 순서대로 바르게 나열한 것은?
4. 제어문에 대한 설명으로 가장 거리가 먼 것은?
5. 어셈블리에서 주로 산술 연산에 사용되는 레지스터에 해당하는 것으로 가장 옳은 것은?
6. 컴파일 단계에 대한 설명으로 가장 옳은 것은?
7. 다음 중 C언어의 열거형에 해당하는 것은?
8. 럼바우(Rumbaugh) 모델링에서 상태도 및 자료 흐름도와 각각 관계되는 모델링은?
9. C언어에 대한 설명으로 가장 옳지 않은 것은?
10. 어셈블리어에서 어떤 기호적 이름에 상수 값을 할당하는 명령어는?
11. 어셈블리어에서 사용되는 어셈블러 명령(의사 명령, 지시 명령)에 해당하는 것은?
12. 객체지향프로그래밍에서 정보 은닉과 가장 관계가 깊은 것은?
13. 다음의 의사명령 중에서 데이터의 형식을 지정하는 의사명령은?
14. Interrupt Service Routine으로부터의 복귀명령에 해당하는 명령은?
15. 레지스터 R1=1100, R2=0101이 저장되어 있을 때 selective-set 연산을 수행하면 결과값은?
16. 기계어에 대한 설명으로 옳지 않은 것은?
17. 객체지향프로그래밍의 특징으로 가장 옳지 않은 것은?
18. 베이스 주소 지정방법의 특징으로 가장 옳지 않은 것은?
19. 어셈블러에서 매크로(MACRO) 전개방법에 대한 설명으로 가장 옳지 않은 것은?
20. 의사연산 테이블(pseudo operation table)에 대한 설명으로 가장 옳은 것은?
2과목: 자료구조 및 데이터통신
21. 전송 데이터가 있는 동안에만 Time 슬롯을 할당하는 다중화 방식은?
22. 전파가 다중 반사되어 수신점에 도달하게 되므로 이들 전파의 도달시간 차이로 인해 수신점에서 심벌(symbol)이 겹치는 현상이 일어나는데 이를 무엇이라고 하는가?
23. IP 주소의 5개 클래스 중 멀티캐스팅을 사용하기 위해 예약되어 있으며 netid와 hostid가 없는 것은?
24. TCP/IP 계층화 모델 중 전송 계층에 사용되는 프로토콜은?
25. 패킷 교환 방식 중 가상 회선 방식에 대한 설명으로 옳은 것은?
26. 에러 제어에 사용되는 자동반복 요청(ARQ) 기법이 아닌 것은?
27. HDLC 프레임 형식 중 프레임의 종류를 식별하기 위해 사용되는 것은?
28. 하나의 메시지 단위로 저장-전달(Store-and-Forward) 방식에 의해 데이터를 교환하는 방식은?
29. 문자의 시작과 끝에 각각 Start 비트와 Stop 비트가 부가되어 전송의 시작과 끝을 알려 전송하는 방식은?
30. 25개의 노드(node)를 망형으로 연결할 때, 필요한 회선의 수는?
31. 다음 자료에 대하여 삽입 정렬을 사용하여 오름차순으로 정렬할 경우 Pass 2의 결과는?
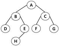
32. 해싱 기법에서 동일한 홈 주소로 인하여 충돌이 일어난 레코드들의 집합을 의미하는 것은?
33. 다음과 같은 이진 트리의 Preorder 운행 결과는?
34. 스택에 대한 설명으로 옳지 않은 것은?
35. 색인 순차 파일의 색인 구역에 해당하지 않는 것은?
36. 데이터베이스의 3층 스키마에 해당하지 않는 것은?
37. 트랜잭션의 특성에 해당하지 않는 것은?
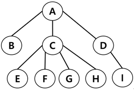
38. 다음 트리의 차수(Degree)는?
39. DBMS의 필수 기능에 해당하지 않는 것은?
40. 선형 구조에 해당하지 않는 것은?
3과목: 전자계산기구조
41. 다음 중 연관 메모리(associative memory)의 특징으로 가장 옳지 않은 것은?
42. 스택(stack)구조의 컴퓨터에서 수식을 계산하기 위해서는 먼저 수식을 어떠한 형태로 바꾸어야 하는가?
43. 부동 소수점 파이프라인의 비교시, 시프터, 가산-감산기, 인크리멘터, 디크리멘터가 모두 조합 회호호 구성된다고 가정할 때, 네 세그먼트의 시간 지연이 t1=60ns, t2=70ns, t3=100ns, t4=80ns이고, 중간 레지스터의 지연이 tr=10ns라고 가정하면 비 파이프라인 구조에 비해 약 몇 배의 속도가 향상되는가?
44. 중앙처리장치의 구성 요소 중 플립플롭이나 래치(Latch)들을 병렬로 연결하여 구성하는 것은?
45. 그레이 코드(Gray Code)에 대한 설명으로 틀린 것은?
46. 명령인출(instruction fetch)과 수행단계(execute phase)를 중첩시켜 하나의 연산을 수행하는 구조를 갖는 처리방식은?
47. 인터럽트와 비교하여 DMA방식에 의한 사이클 스틸의 가장 특징적인 차이점으로 옳은 것은?
48. +375를 팩10진형 방식으로 표현한 방법은 언팩 10진형 방식으로 표현하였을 때보다 몇 비트의 기억장소가 절약되는가?
49. 마이크로 오퍼레이션(micro-operation)에 관한 설명으로 가장 옳지 않은 것은?
50. 디멀티플렉서(Demultiplexer)에 대한 설명으로 가장 옳은 것은?
51. 8진수 (563)8의 7의 보수를 구하면?
52. 가상메모리 시스템에서 20비트의 논리 주소가 4비트의 세그먼트 번호, 8비트의 페이지 번호, 8비트의 워드 필드로 구성될 경우에 한 세그먼트의 최대 크기로 옳은 것은?
53. 동기가변식 마이크로오퍼레이션 사이클 타임을 정의하는 방식은 수행시간이 유사한 마이크로오퍼레이션들끼리 모아 집합을 이루고 각 집합에 대해서 서로 다른 마이크로오퍼레이션 사이클 타임을 정의한다. 이때 각 집합 간의 마이크로 사이클 타임을 정수배가 되도록 하는 가장 큰 이유는?
54. 데이지체인(daisy-chain)에 대한 설명으로 가장 옳은 것은?
55. 다음 중 전달기능의 인스트럭션 사용빈도가 매우 낮은 인스트럭션 형식은?
56. 캐시기억장치 운영에서 매핑 함수의 의미를 가장 옳게 설명한 것은?
57. 소프트웨어에 의한 우선순위 판별 방법으로 가장 옳은 것은?
58. 2의 보수를 사용하여 음수를 표현할 때의 설명으로 가장 옳은 것은?
59. DMA에 대한 설명으로 가장 옳지 않은 것은?
60. CPU와 기억장치 사이에 실질적인 대역폭(band width)을 늘리기 위한 방법으로 가장 적합한 것은?
4과목: 운영체제
61. 다음의 페이지 참조 열(Page reference string)에 대해 페이지 교체 기법으로 FIFO를 사용할 경우 페이지 부재(Page Fault)횟수는? (단, 할당된 페이지 프레임 수는 3이고, 처음에는 모든 프레임이 비어있다.)
62. Public Key System에 대한 설명으로 틀린 것은?
63. 다음과 같은 프로세스가 차례로 큐에 도착하였을 때, SJF 정책을 사용할 경우 가장 먼저 처리되는 작업은?
64. 주기억장치 배치 전략 기법으로 최적 적합 방법을 사용한다고 할 때, 다음과 같은 기억장소 리스트에서 10K 크기의 작업은 어느 기억공간에 할당되는가? (단, K=kilo이고, 탐색은 위에서부터 아래로 한다고 가정한다.)
65. 교착상태가 발생할 수 있는 조건이 아닌 것은?
66. 다음 운영체제에 대한 설명 중 가장 옳지 않은 것은?
67. 다음 기억장치 관리에 관한 설명에 가장 부합하는 기법은?
68. 프로세스(Process)의 정의로 옳지 않은 것은?
69. 디스크 입·출력 요청 대기 큐에 다음과 같은 순서로 기억되어 있다. 현재 헤드가 53에 있을 때, 이를 모두 처리하기 위한 총 이동 거리는 얼마인가? (단, FCFS 방식을 이용한다.)
70. Crossbar Switch Matrix에 관한 설명으로 가장 옳지 않은 것은?
71. UNIX에 대한 설명으로 틀린 것은?
72. Relative Loader가 수행해야 할 기능으로 틀린 것은?
73. 파일 시스템의 기능에 대한 설명으로 가장 옳지 않은 것은?
74. FIFO 스케줄링에서 3개의 작업 도착시간과 CPU 사용시간(burst time)이 다음 표와 같다. 이때 모든 작업들의 평균 반환시간(turn around time)은? (단, 소수점 발생 시 정수 형태로 반올림한다.)
75. 스레드(Thread)에 대한 설명으로 가장 거리가 먼 것은?
76. 은행가 알고리즘(Banker's Algorithm)은 교착상태의 해결 방법 중 어떤 기법에 해당하는가?
77. 임계 영역(Critical Section)에 대한 설명으로 가장 옳은 것은?
78. 프로세스가 자원을 기다리고 있는 시간에 비례하여 우선순위를 부여함으로써 무기한 문제를 방지하는 기법은?
79. OS의 가상기억장치 관리에서 프로세스가 일정 시간 동안 자주 참조하는 페이지들의 집합을 의미하는 것은?
80. 데커(Dekker) 알고리즘에 대한 설명으로 틀린 것은?
5과목: 마이크로 전자계산기
81. 마이크로컴퓨터의 시스템 소프트웨어 중 사용자가 작성한 프로그램을 실행하면서 에러를 검출하고자 할 때 사용되는 것은?
82. DRAM(dynamic RAM)에 관한 설명으로 가장 옳지 않은 것은?
83. HALT 명령이 실행되면 CPU는 동작을 멈추게 되고 CPU의 외부 제어 신호인
를 low로 하여 외부 장치에게 알리게 된다. 이 상태(HALT상태)에서 벗어나기 위해 수행되어야 할 사항으로 가장 타당한 것은?
)를 보낸다.84. 주 메모리의 성능을 평가하는 중요한 요소가 아닌 것은?
85. 표(Table)형식의 자료를 처리할 때 가장 유용하게 사용할 수 있는 명령어의 주소지정방식은?
86. 총 158개의 명령어를 내장하고 OP코드와 주소로 구성되어 있는 32비트 마이크로컴퓨터에서 생성 가능한 최대 기억장치의 크기로 가장 옳은 것은? (단, 워드 단위로 주소를 가지며, 하나의 워드는 하나의 명령을 나타낸다.)
87. 소스프로그램의 번역이 이루어지는 컴퓨터와 번역된 기계어에 이용되는 컴퓨터가 서로 다른 기종의 컴퓨터일 때 사용하는 언어 번역기의 명칭으로 가장 타당한 것은?
88. Read/Write signal이나 Chip Select signal 등의 신호는 어느 버스에 싣게 되는가?
89. 다음 기억소자 중 휘발성(Volatile) 기억소자는?
90. 다음 ALU의 기능에 관한 설명 중 가장 옳지 않은 것은?
91. 다음 중 엑세스 시간이 가장 짧은 것은?
92. 다음과 같은 인터럽트 입출력(interrupt I/O) 방식에서 사용되는 데이지 체인(daisy chain)에서 인터럽트의 우선순위(priority)가 가장 높은 것은? (단, IREQ는 interrupt request 신호이며 IACK는 interrupt acknowledge 신호이다.)
93. 8비트 마이크로프로세서의 일반적인 내부 버스와 레지스터의 크기는?
94. 데스크톱 컴퓨터의 메인 보드에 대한 산업계의 개방형 규격으로 마이크로프로세서와 확장 슬롯들의 배치를 90도 회전시킴으로써 마더 보드 설계를 개선한 것은?
95. 데이터의 전송 방향 및 시점 제어, 주기억장치 또는 입출력 장치 읽기/쓰기 제어, 데이터 스트로브와 주소 스트로브, 준비 신호를 전달하는 역할을 하는 버스의 신호선은 무엇인가?
96. 메모리부터 명령을 읽어오는 과정에서 필요하지 않은 장치는?
97. 가상기억 장치에 대한 설명으로 틀린 것은?
98. 기억장치 사이클 타임(Mt)과 기억장치 접근 시간(At)의 관계식으로 가장 옳은 것은?
99. 로더(loader)에 관한 설명을 가장 옳은 것은?
100. 데이터 전송 방식에 대한 설명으로 가장 옳지 않은 것은?