1과목: 전자계산기 프로그래밍
1. 어셈블리어에서 어떤 기호적 이름에 상수 값을 할당하는 명령은?
2. C 언어에서 키보드로부터 한 문자를 입력받는 기능을 하는 것은?
3. 프로그램에서 함수를 호출하는 부분과 실제로 이러한 함수 호출에 의하여 실행되는 명령어들을 연결하는 작업 또는 프로그램에서 사용되는 변수와 이러한 변수 이름에 의하여 접근되는 기억장소 위치를 연결하는 작업을 무엇이라고 하는가?
4. 시스템 프로그래밍에 가장 적합한 언어는?
5. 문자열의 내용을 레지스터로 가져오는 어셈블리어 명령은?
6. 프로그래밍 언어의 수행 순서로 옳은 것은?
7. 세그먼트 레지스터에 각 세그먼트의 시작번지를 할당하여 현재의 세그먼트가 어느 것인가를 지적하게 하는 어셈블리어 명령은?
8. 매크로에 대한 설명으로 옳지 않은 것은?
9. 기계어에 대한 설명으로 가장 옳지 않은 것은?
10. 매크로 프로세서의 기본적 수행 기능에 해당하지 않는 것은?
11. 어셈블리어에서 라이브러리에 기억된 내용을 프로시저로 정의하여 서브루틴으로 사용하는 것과 같이 사용할 수 있도록 그 내용을 현재의 프로그램 내에 포함시켜 주는 명령은?
12. 표준 C 언어에서 포인터(pointer)에 대한 설명으로 옳지 않은 것은?
13. C 언어의 기억 클래스 종류가 아닌 것은?
14. 어셈블리어에 대한 설명으로 옳지 않은 것은?
15. 변수의 값이 저장된 기억 장소, 위치를 확인할 수 있는 것은 변수의 어떤 구성 요소에 의해서 가능한가?
16. 표준 C 언어에서 ″printf″에 사용되는 파라미터(parameter) 중 변환 문자열에 대한 의미로 틀린 것은?
17. 표준 C 언어의 Escape Character의 약호가 잘못 짝지어진 것은?
18. 프로그램 내에서 양쪽 오퍼랜드에 기억된 내용을 바꾸어야 할 때 사용하는 어셈블리어 명령은?
19. 작성된 표현식이 BNF의 정의에 의해 바르게 작성되었는지를 확인하기 위하여 만든 트리는?
20. 어셈블리 언어에서 원시프로그램을 번역할 때 어셈블러에게 요구되는 동작을 지시하는 명령으로서 기계어로 번역되지 않는 명령어를 무엇이라고 하는가?
2과목: 자료구조 및 데이터통신
21. 대역폭이 B(Hz), 신호대잡음비가 0인 채널을 사용하여 데이터를 전송하는 경우 채널용량(bps)은?
22. [보기]에서 설명하고 있는 프로토콜은?
23. 변조속도가 2400buad이고 16진QAM을 사용하는 경우 데이터 신호속도(bps)는?
24. 10.0.0.0 네트워크 전체에서 마스크 255.240.0.0를 사용할 경우 유효한 서브넷 ID는?
25. HDLC의 세 가지 동작 모드 중 [보기] 설명에 해당하는 것은?
26. 데이터 전송을 하고자 하는 모든 단말 장치는 서로 대등한 입장에 있으며, 송신 요구를 먼저 한쪽이 송신권을 갖는 방식은?
27. OSI 7계층에서 통신 매체에 대해 전기적, 기계적인 인터페이스를 다루며, 비트를 전송하기 위해 전기적 신호로 부호화하여 전송하는 계층은?
28. 일반적으로 불균형적인 멀티 포인트(Multi-point) 링크 구성에서 회선제어를 할 때, 주국(Primary Station)이 각 보조국(Secondary Station)에게 데이터를 요청하는 방법은?
29. 전송 매체상의 전송 프레임마다 해당 채널의 시간 슬롯이 고정적으로 할당되는 다중화 방식은?
30. CSMA/CD에서 사용되는 LAN 표준 프로토콜은?
31. 데이터베이스의 특성으로 거리가 먼 것은?
32. 데이터베이스 설계 순서로 옳은 것은?
33. 해싱에서 서로 다른 두 개의 키 값이 같은 해시(hash) 주소를 갖는 현상을 무엇이라고 하는가?
34. 스키마의 종류 중 데이터베이스의 전체적인 논리적 구조로서, 모든 응용 프로그램이나 사용자들이 필요로 하는 데이터를 종합한 조직 전체의 데이터베이스로 하나만 존재하는 것은?
35. 트랜잭션의 특성에 해당하지 않는 것은?
36. 자료구조를 선형구조와 비선형구조로 구분할 때 성격이 다른 하나는?
37. 다음 자료에 대하여 버블 정렬(bubble sort)을 이용하여 오름차순으로 정렬할 경우 ″pass 1″의 실행 결과는?
38. DBMS의 필수 기능으로 옳게 짝지어진 것은?
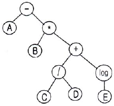
39. 다음 트리를 후위(postorder) 조사(traverse)할 때 옳게 나타낸 식은?
40. 데이터베이스의 정의로 가장 거리가 먼 것은?
3과목: 전자계산기구조
41. 간접 상태(Indirect state) 동안에 수행되는 것은?
42. CPU가 어떤 명령과 다음 명령을 수행하는 사이를 이용하여 하나의 데이터 워드를 직접 전송하는 DMA 방식을 무엇이라고 하는가?
43. 메모리로부터 읽혀진 명령어의 오퍼레이션 코드(OP-code)는 CPU의 어느 레지스터에 들어가는가?
44. 누산기(accumulator)에 대한 설명으로 가장 옳은 것은?
45. interleaved memory에 대한 설명과 가장 관계가 없는 것은?
46. IEEE 754에서 규정하는 부동소수(Floating point number)를 표현하는데 필요로 하지 않는 비트 정보는?
47. 16개의 입력선을 가진 multiplexer의 출력에 32개의 출력선을 가진 demultiplexer를 연결했을 경우에 multiplexer와 demultiplexer의 선택 선은 각각 몇 개를 가져야 하는가?
48. 4비트 데이터 0101을 해밍코드(hamming code)로 표현하려고 한다. 코드의 구성은 P1 P2 D3 P4 D5 D6 D7과 같이 한다. 여기서 Pn은 패리티 비트를 의미하고, Dn은 데이터 즉, 0101을 의미한다. 변환된 해밍코드는?
49. 출력 측의 일부가 입력 층에 피드백 되어 유발되는 레이스 현상을 없애기 위해 고안된 플립플롭은?
50. Instruction을 수행하기 위한 Major State에 관한 설명으로 가장 옳은 것은?
51. 인터럽트 요청신호 플래그(Flag)를 차례로 검사하여 인터럽트의 원인을 판별하는 방식은?
52. 주기억장치는 하드웨어의 특성상 주기억장치가 제공할 수 있는 정보 전달 능력에 한계가 있는데, 이 한계를 주기억장치의 무엇이라 하는가?
53. 마이크로프로그램 제어기가 다음에 수행할 마이크로 인스트럭션의 주소를 결정하는데 사용하는 정보가 아닌 것은?
54. Flynn의 컴퓨터 구조 분류법 중 여러 개의 처리기에서 수행되는 명령어들은 각기 다르나 전체적으로 하나의 데이터 스트림을 가지는 형태는?
55. 조합논리회로 중 중앙처리장치에서 번지 해독, 명령 해독 등에 사용되는 회로는?
56. 인스트럭션 세트의 효율성을 높이기 위하여 고려할 사항이 아닌 것은?
57. 다음 조합 논리 회로의 명칭은?
58. 메가플롭스(MFLOPS)에 대하여 가장 잘 설명한 것은?
59. 플립플롭에 대한 설명 중 틀린 것은?
60. 8진수 474를 2진수로 변환하면?
4과목: 운영체제
61. 분산 처리 운영체제 시스템을 설계하는 주된 이유가 아닌 것은?
62. 운영체제(Operating System)의 기능으로 옳지 않은 것은?
63. 버퍼링과 스풀링에 대한 설명으로 가장 옳지 않은 것은?
64. 그림과 같은 메모리 구성에서 15M 크기의 블록을 메모리에 할당하고자 한다. ⓒ 영역에 할당시킬 경우 사용된 정책은 무엇인가?
65. 은행원 알고리즘은 교착상태 해결 방법 중 어떤 기법에 해당하는가?
66. UNIX의 특징이 아닌 것은?
67. 스레드(Thread)에 대한 설명으로 가장 적합하지 않은 것은?
68. 다중 처리기 운영체제 구조 중 주/종(Master/Slave) 처리기 시스템에 대한 설명으로 옳지 않은 것은?
69. Virtual Memory에서 Main Memory로 페이지를 옮겨 넣을 때 주소를 조정해 주어야 하는데 이를 무엇이라고 하는가?
70. 프로세스 상태의 종류가 아닌 것은?
71. 운영체제에 대한 설명으로 가장 옳지 않은 것은?
72. 마스터 파일 디렉토리와 각 사용자별로 만들어지는 사용자 파일 디렉토리로 구성되는 디렉토리 구조는?
73. 디스크 스케줄링에서 SSTF(Shortest Seek Time First)에 대한 설명으로 가장 적합하지 않은 것은?
74. 스케줄링 방식 중 라운드 로빈 방식에서 시간간격을 무한히 크게 하면 어떤 방식과 동일하게 되는가?
75. 다음의 페이지 참조 열(Page reference string)에 대해 페이지 교체 기법으로 FIFO를 사용할 경우 페이지 부재(Page Fault) 횟수는? (단, 할당된 페이지 프레임 수는 3이고, 처음에는 모든 프레임이 비어 있음)
76. 페이징 기법과 세그먼테이션 기법에 대한 설명으로 가장 옳지 않은 것은?
77. UNIX Shell에 대한 설명으로 옳지 않은 것은?
78. UNIX에서 파일 사용 권한 지정에 관한 명령어는?
79. 파일 구성 방식 중 ISAM(Indexed Sequential Access-Method)의 물리적인 색인(index) 구성은 디스크의 물리적 특성에 따라 색인을 구성하는데, 다음 중 3단계 색인에 해당되지 않는 것은?
80. 페이지 교체기법 알고리즘 중 각 페이지마다 ″Reference Bit″와 ″Modified Bit″가 사용되는 것은?
5과목: 마이크로 전자계산기
81. 8085 마이크로프로세서에서 주소와 데이터를 분리하기 위해 필요한 신호는?
82. 주소 수(address line)를 A0~A13까지 총 14개를 사용하여 저장할 수 있는 메모리의 주소 공간의 범위는?
83. ATMega128 MCU의 특징이 아닌 것은?
84. 다음 중 시프트(shift)를 수행하는 명령어에 속하지 않는 것은?
85. 사용자의 요구에 따라 제조 단계에서 프로그램과 에디터를 기억시키는 ROM은?
86. 레지스터의 역할이 아닌 것은?
87. 어드레스 선이 16비트로 구성되고, 데이터 선이 4비트로 구성되어 있는 메모리의 총 용량은?
88. 입출력 채널에 의한 입출력 방식 중 한 번에 여러 개의 장치들에 대한 입출력을 동시에 제어할 수 있는 것은?
89. 스택 포인터(stack pointer)에 대한 설명으로 가장 옳은 것은?
90. 비수치 처리, 특히 데이터베이스를 다루는 컴퓨터 시스템에서 데이터베이스 처리 전용으로 주컴퓨터에 결합해서 사용하는 프로세서는?
91. SSD(Solid State Drive)의 특징으로 틀린 것은?
92. 다음 중 누산기가 꼭 필요한 명령 형식은?
93. 우선순위 인터럽트 체제에서 마스크 레지스터(Mask register)의 역할은?
94. Isolated I/O 방식에 대한 설명으로 가장 옳지 않은 것은?
95. DRAM에 대한 설명으로 틀린 것은?
96. IEEE 488 버스에 대한 설명 중 가장 옳지 않은 것은?
97. 마이크로컴퓨터용 소프트웨어 개발 과정으로 옳은 것은?
98. 마이크로프로세서 내에 있는 레지스터로서 프로그램을 구성하고 있는 명령어들의 실행순서를 지정하여 주는 것은?
99. 부트스트리핑 로더(bootstrapping loader)가 하는 일은?
100. 그림은 마이크로프로세서와 메모리 사이의 관계를 설명한 것이다. B의 내용으로 알맞은 것은?