1과목: 전자계산기 프로그래밍
1. C 언어의 특징으로 옳은 내용 모두를 나열한 것은?
2. 객체지향 기법 중 데이터와 데이터를 처리하는 함수를 하나로 묶는 것을 의미하며, 객체의 세부 내용이 외부에 은폐되어 변경이 발생할 때 오류의 파급 효과가 적은 것은?
3. 객체지향 설계 방법론에 대한 설명으로 옳지 않은 것은?
4. 원시프로그램을 번역할 때 어셈블러에게 요구되는 동작을 지시하는 명령으로서 기계어로 번역되지 않는 명령어를 무엇이라고 하는가?
5. 주어진 BNF를 이용하여 그 대상을 근으로 하고 터미널 노드들이 검정하고자 하는 표현식과 같이 되는 트리를 무엇이라고 하는가?
6. 어셈블리어에서 서브루틴을 호출하는 명령은?
7. 어셈블리어에서 매크로를 정의할 대 시작부분과 끝부분에 쓰이는 명령은?
8. C 언어에서 이스케이프 시퀀스의 설명이 옳지 않은 것은?
9. C 언어의 기억클래스 종류가 아닌 것은?
10. C 언어에서 함수 “putchar()”의 역할은?
11. C 언어에서 키보드로부터 하나의 문자를 입력받는 함수는?
12. 프로그램 수행 순서로 옳은 것은?
13. 객체지향 기법에서 객체에게 어떤 행위를 하도록 지시하는 명령을 무엇이라고 하는가?
14. 객체지향 개념 중 하나 이상의 유사한 객체들을 묶어 공통된 특성을 표현한 데이터 추상화를 의미하는 것은?
15. 고급언어로 작성한 프로그램을 기계어로 번역하였다. 번역 중에 발생한 문법에러를 모두 수정하여 실행 파일을 만들었으나 실행 결과가 정확하지 않았다. 다음 중 어떤 프로그램을 이용하면 논리적인 문제점을 검토할 수 있는가?
16. 수명 시간동안 고정된 하나의 값과 이름을 가진 자료로서 프로그램이 작동하는 동안 값이 절대로 바뀌지 않는 것을 의미하는 것은?
17. 객체지향 프로그래밍 기법에 대한 설명으로 옳지 않은 것은?
18. 어셈블리어에서 라이브러리에 기억된 내용을 프로시저로 정의하여 서브루틴으로 사용하는 것과 같이 사용할 수 있도록 그 내용을 현재의 프로그램 내에 포함시켜 주는 명령은?
19. 람바우의 객체 모델링 비법에서 사용하는 세 가지 모델링이 아닌 것은?
20. C 언어에서 사용하는 데이터형이 아닌 것은?
2과목: 자료구조 및 데이터통신
21. DBMS의 필수 기능에 해당하는 것은?
22. 3단계 데이터베이스 구조의 스키마 종류에 해당하지 않는 것은?
23. 선형 자료구조에 해당하는 것으로 나열된 것은?
24. 해싱에서 동일한 버켓 주소를 갖는 레코드들의 집합을 의미하는 것은?
25. 트랜잭션의 특성에 해당하지 않는 것은?
26. 데이터베이스 설계 순서로 옳은 것은?
27. 데이터베이스의 특징으로 옳지 않은 것은?
28. 다음 자료에 대하여 버블 정렬을 사용하여 오름차순 정렬할 경우 2회전 후의 결과는?
29. 스택에 대한 설명으로 옳은 내용 모두를 나열한 것은?
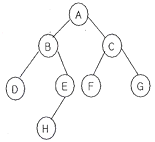
30. 다음과 같은 이진트리의 Preorder 운행 결과는?
31. 다음 중 ASK, FSK, PSK와 같이 세 가지 방식이 있으며, 디지털 변조에서 디지털 데이터를 아날로그 신호로 변환시키는 것을 의미하는 것은?
32. 데이터 프레임을 연속적으로 전송해 나가다가 NAK를 수신하게 되면, 오류가 발생한 프레임 이후에 전송된 모든 데이터 프레임을 재전송하는 방식은?
33. 다음 중 DTE에서 출려되는 디지털 신호를 디지털 회선망에 적합한 신호형식으로 변환하는 장치로 옳은 것은?
34. 다음 중 효율적인 전송을 위해 넓은 대역폭(고속 전송속도)을 가진 하나의 전송 링크를 통하여 여러 신호(데이터)를 동시에 실어 보내는 전송기술은?
35. 송수신측 간의 전송 경로 중 최적의 패킷 교환 경료를 설정하는 기능인 경로의 설정 요소로 틀린 것은?
36. 회선교환 방식에 대한 설명으로 틀린 것은?
37. ATM(Asynchronous Transfer Mode)에 사용되는 ATM cell의 헤더와 유료 부하(payload)의 크기는 각각 몇 옥텟(octet)인가?
38. TCP/IP 모델의 인터넷 계층에 해당하는 프로토콜로 맞는 것은?
39. HDLC 구조에서 프레임의 시작과 끝을 나타내며 고유한 비트 패턴으로 표시되는 것은?
40. 동기식 문자 지향 프로토콜 프레임에서 전송될 문자의 시작을 나타내는 제어 문자는?
3과목: 전자계산기구조
41. 전기산기(full-adder)의 carry 비트를 논리식으로 나타낸 것은? (단, x, y, z는 입력, C(carry)는 출력)
42. BCD 코드 1001에 대한 해밍 코드를 구하면?
43. 다음 중 OP-code의 기능이 아닌 것은?
44. 재귀호출(recursive call) 프로그램에 해당하는 것은?
45. 캐시(cache) 기억장치에 대한 설명으로 가장 옳은 것은?
46. 마이크로 오퍼레이션에 대한 설명 중 옳은 것은?
47. 다음은 0-주소 명령어 방식으로 이루어진 프로그램이다. 레지스터 X의 내용은? (단, 레지스터 A = 1, B = 2, C = 3, D = 3, E = 2이며, ADD는 덧셈 명령어, MUL은 곱셈 명령어이다.)
48. 1-주소 명령어에서는 무엇을 이용하여 명령어 처리를 하는가?
49. 동일한 컴퓨터에서 처리할 경우 연산속도가 가장 빠른 것은?
50. 정수 n bit를 사용하여 1의 보수(1's complement)로 표현하였을 때 그 값의 범위는?
51. 가상기억장치(Virtual Memory System)를 도입함으로써 기대할 수 있는 장점이 아닌 것은?
52. 다음은 DMA와 인터럽트에 대한 설명이다. 잘못 설명된 것은?
53. shift 명령을 수행한 후 빈 공간에 채워지는 내용이 다른 것은?
54. 명령어의 주소(address) 부를 유효주소로 이용하는 방법은?
55. 다음의 마이크로 오퍼레이션과 관련 있는 것은?
56. 통상적인 사용자 프로그램을 처리함에 있어서 중앙처리장치(CPU)가 가장 많이 실행하는 인스트럭션 종류는?
57. 다중처리기 상호 연결 방법 중 시분할 공유버스를 설명한 것은?
58. 하나의 채널에 저속의 많은 입출력 장치를 구동시키는데 알맞은 방식으로 각 입출력 장치마다 채널을 시분할 공유하도록 하여 여러 개의 입출력 장치를 동작시킬 수 있는 채널은?
59. 파이프라인 프로세서(Pipeline processor)의 설명 중 가장 적합한 것은?
60. 2의 보수로 표현되는 수가 A, B 레지스터에 저장되어 있다. A ← A-B 연산을 수행한 후의 A 레지스터는?
4과목: 운영체제
61. 프로세스의 정의로 옳은 내용 모두를 나열한 것은?
62. UNIX에서 커널의 수행 기능에 해당하는 것으로만 나열된 것은?
63. 현재 헤드 위치가 53에 있고 트랙 0번 방향으로 이동 중이었다. 요청 대기 큐에는 다음과 같은 순서의 액세스 요청이 대기 중일 때 SSTF 스케줄링 알고리즘을 사용한다면 가장 마지막에 처리되는 것은? (단, 가장 안쪽 트랙은 0번)
64. FIF0 스케줄링에서 3개의 작업 도착시간과 CPU 사용시간(burst time)이 다음 표와 같다. 이 때 모든 작업들의 평균 반환시간(turn around time)은?
65. 하나의 프로세스가 작업 수행 과정에서 수행하는 기억 장치 접근에서 지나치게 페이지 폴트가 발생하여 프로세스 수행에 소요되는 시간보다 페이지 이동에 소요되는 시간이 더 커지는 현상은?
66. 주기억장치 배치 전략 기법으로 최적 적합 방법을 사용한다고 할 때, 다음과 같은 기억장소 리스트에서17k 크기의 작업은 어느 기억공간에 할당되는가? (단, 탐색은 위에서 아래로 한다.)
67. 운영체제의 수행 기능으로 옳은 내용 모두를 나열한 것은?
68. 3개의 페이지 프레임(Frame)을 가진 기억장치에서 페이지 요청을 다음과 같은 페이지 번호 순으로 요청했을 때 교체 알고리즘으로 FIF0 방법을 사용한다면 몇 번의 페이지 부재(Fault)가 발생하는가? (단, 현재 기억장치는 모두 비어 있다고 가정한다.)
69. 다음 설명에 해당하는 디렉토리 구조는?
70. 로더(Loader)의 종류 중 로더의 역할이 축소되어 가장 간단한 프로그램으로 구성된 로더로서, 기억장소 할당이나 연결을 프로그래머가 직접 지정하는 방식이며 프로그래머 입장에서는 매우 어렵고 한번 지정한 주기억장소의 위치는 변경이 힘들다는 단점이 있는 것은?
71. 파일 디스크립터(File Descriptor)의 내용으로 거리가 먼 것은?
72. UNIX에서 파일 내용을 화면에 표시하는 명령과 파일의 소유자를 변경하는 명령을 순서적으로 옳게 나열한 것은?
73. 운영체제의 운영 기법 중 동시에 프로그램을 수행할 수 있는 CPU를 두 개 이상 두고 각각 그 업무를 분담하여 처리할 수 있는 방식을 의미하는 것은?
74. HRN 방식으로 스케줄링 할 경우, 입력된 작업이 다음과 같을 때 우선순위가 가장 높은 것은?
75. UNIX의 특징으로 옳은 내용 모두를 나열한 것은?
76. 매크로 프로세서 처리과정으로 옳은 것은?
77. 레코드가 직접 액세스 기억장치의 물리적 주소를 통해 직접 액세스 되는 파일 구조는?
78. 하이퍼큐브에서 하나의 프로세서에 연결되는 다른 프로세서의 수가 4개일 경우 필요한 총 프로세서의 수는?
79. 구역성(Locality)에 대한 설명으로 옳지 않은 것은?
80. 다중 처리기 운영체제 구성에서 주/종(Master/Slave)처리기 시스템에 대한 설명으로 옳지 않은 것은?
5과목: 마이크로 전자계산기
81. 비동기식 직렬 통신을 하며 9600bps 속도를 전송하는데 소요되는 시간은? (단, start 비트 : 2비트, stop 비트 : 1비트)
82. 마이크로프로세서의 발전과정상 16비트 컴퓨터의 특징으로 틀린 것은?
83. Dynamic RAM에서 Address 선을
와
에 의해 2배의 address bus로 대응시키기 위해 필요한 논리회로는?
84. 다음 중 ICE(In-Circuit Emulator)의 기능으로 볼 수 없는 것은?
85. 주루틴(main routine)의 호출명령에 의하여 명령실행제어만이 넘겨져서 고유의 루틴(routine)처리를 행하도록 하는 것은?
86. 다음 중 스택과 관계없는 것은?
87. 범용 직렬 통신 장치인 8251에 대한 설명으로 틀린 것은?
88. [그림]은 ROM의 기본구성도이다. Ⓐ 부분의 기능에 대한 명칭은?
89. 어떤 RAM 모듈의 액세스 시간이 100ns이고, 한 번에 32bit씩 읽혀질 때 데이터 전송률[Mbps]은?
90. 고정배선제어에 비해 마이크로프로그램을 이용한 제어방식이 가지는 장점이 아닌 것은?
91. 메모리나 입출력 장치로부터 마이크로프로세서로 데이터를 읽어오기 위한 제어 신호는? (단, z80 마이크로프로세서 기준)
92. 마이크로컴퓨터와 주변장치와의 데이터 전달 방식이 아닌 것은?
93. Femto second의 단위는?
94. 어떤 마이크로컴퓨터 시스템의 버스 사이클과 DMA 전송을 버스트(burst) 방식으로 실행할 경우 10바이트 데이터를 고속 I/O 주변장치의 DMA 전송 시 몇 번의 시스템 버스이양 요청과 양도가 이루어지는가? (단, 이양 요청과 양도를 합하여 1회로 본다.)
95. 직렬 통신 속도를 결정해 주기 위한 클록을 공급하는 것은?
96. I/O 장치 자체를 기억장치의 일부로 취급하는 것은?
97. micro-cycle의 동기 가변식(synchronous variable)에 대한 설명으로 옳은 것은?
98. 다음 중 UART가 수행할 수 있는 동작이 아닌 것은?
99. 4개의 플립플롭으로 구성한 3비트 리플카운터(ripple counter)는 입력 주파수를 어떤 주파수의 파형으로 변환하는가?
100. 인터럽트 요구 신호는 마이크로컴퓨터의 어느 부분과 관련이 있는가?
② C 언어는 컴파일러 언어이다.
③ C 언어는 시스템 프로그래밍에 적합한 언어이다.
④ C 언어는 포인터를 지원한다.
②번은 맞는 내용이다. C 언어는 소스 코드를 컴파일러를 통해 기계어로 변환하여 실행하는 컴파일러 언어이다.
③번도 맞는 내용이다. C 언어는 메모리와 하드웨어를 직접 다룰 수 있기 때문에 시스템 프로그래밍에 적합한 언어이다.
④번도 맞는 내용이다. C 언어는 포인터를 지원하여 메모리 주소를 직접 다룰 수 있기 때문에 다른 언어보다 더욱 높은 수준의 메모리 제어가 가능하다.
따라서 정답은 "②, ③, ④"이다.