1과목: 데이터 베이스
2. 다음 릴레이션의 Degree와 Cardinality는?
3. 모든 응용프로그램이나 사용자들이 필요로 하는 데이터를 통합한 조직 전체의 데이터베이스 구조를 논리적으로 정의하는 스키마는?
4. 병행제어의 목적으로 옳지 않은 것은?
5. 한 릴레이션의 기본 키를 구성하는 어떠한 속성 값도 널(Null) 값이나 중복 값을 가질 수 없음을 의미하는 것은?
6. 학적 테이블에서 전화번호가 Null값이 아닌 학생명을 모두 검색할 때, SQL 구분으로 옳은 것은?
7. 제2정규형에서 제3정규형이 되기 위한 조건은?
8. 뷰에 대한 설명으로 옳지 않은 것은?
9. 시스템 카탈로그에 대한 설명으로 틀린 것은?
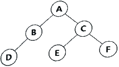
10. 다음 트리를 후위 순회(Postorder Traversal)한 결과는?
11. 데이터베이스 설계 단계 중 응답시간, 저장공간의 효율화, 트랜잭션 처리도와 가장 밀접한 관계가 있는 것은?
12. Which of the following does not belong to the DDL statement of SQL?
13. 스택에서 A, B, C, D로 순서가 정해진 입력 자료를 Push→Push→Pop→Push→Pop→Push→Pop→Pop으로 연산 했을 때 출력은?
14. 해싱함수 중 주어진 키를 여러 부분으로 나누고, 각 부분의 값을 더하거나 배타적 논리합(XOR : Exclusive OR) 연산을 통하여 나온 결과로 주소를 취하는 방법은?
15. 관계 데이터베이스에 있어서 관계 대수 연산이 아닌 것은?
16. 다음 자료를 버블 정렬을 이용하여 오름차순으로 정렬할 경우 PASS 1의 결과는?
17. 비선형 자료 구조에 해당하는 것은?
18. 해싱에서 동일한 홈 주소로 인하여 충돌이 일어난 레코드들의 집합을 의미하는 것은?
19. 일련의 연산 집합으로 데이터베이스의 상태를 변환시키기 위하여 논리적 기능을 수행하는 하나의 작업 단위는?
20. 다음 내용이 설명하고 있는 기술은?
2과목: 전자 계산기 구조
21. PE(processing element)라는 연산기를 사용하여 동기적 병렬 처리를 수행하는 것은?
22. 반가산기에서 입력을 X, Y라 할 때 출력 부분의 캐리(carry) 값은?
23. 명령어가 오퍼레이션 코드(OP code) 6비트, 어드레스 필드 16비트로 되어 있다. 이 명령어를 쓰는 컴퓨터의 최대 메모리 용량은?
24. 디코더(decoder)의 출력이 4개일 때 입력개수는?
25. 기억장치에 기억된 정보를 액세스하기 위하여 주소를 사용하는 것이 아니라 기억된 정보의 일부분을 이용하여 원하는 정보를 찾는 것은?
26. 다음 진리표에 해당하는 논리식은?




" 이다.
"가 정답이다.27. Flynn의 컴퓨터 시스템 분류 제안 중에서 하나의 데이터 흐름이 다수의 프로세서들로 전달되며, 각 프로세서는 서로 다른 명령어를 실행하는 구조는?
28. 다음 중 타이머에 의한 인터럽트(Interrupt)는?
29. DMA 제어기에서 CPU와 I/O 장치 사이의 통신을 위해 반드시 필요한 것이 아닌 것은?
30. I/O operation과 관계가 없는 것은?
31. 블루레이 디스크(Blue-ray Disc)에 관한 설명으로 틀린 것은?
32. 기억장치를 각 모듈이 번갈아 가며 접근하는 방법은?
33. 베이스레지스터 주소지정방식의 특징이 아닌 것은?
34. CPU 내부의 레지스터 중 프로그램 제어와 관계가 있는 것은?
35. 기억장치의 구조가 stack 구조를 가질 때 가장 밀접한 관계가 있는 명령어는?
36. 시프트 레지스터(shift register)의 내용을 오른쪽으로 한 번 시프트하면 데이터는 어떻게 변하는가?
37. 가상기억장치에서 주소 공간이 1024K, 기억공간은 32K라고 가정할 때 주기억장치의 주소 레지스터는 몇 비트로 구성되는가?
38. 채널(Channel)에 대한 설명으로 가장 옳지 않은 것은?
39. 사이클 타임이 750ns 인 기억장치에서는 이론적으로 초당 몇 개의 데이터를 불러 낼 수 있는가?
40. 메모리 버퍼 레지스터(MBR)의 설명으로 옳은 것은?
3과목: 운영체제
41. 4개의 페이지를 수용할 수 있는 주기억장치가 있으며, 초기에는 모두 비어 있다고 가정한다. 다음의 순서로 페이지 참조가 발생할 때, FIFO 페이지 교체 알고리즘을 사용할 경우 페이지 결함의 발생 횟수는?
42. 데이터 발생 즉시, 또는 데이터 처리 요구가 있는 즉시 처리하여 결과를 산출하는 방식으로 정해진 시간 내에 결과를 도출하는 시스템은?
43. 운영체제에서 스레드(Thread)의 개념으로 가장 옳지 않은 것은?
44. 파일 디스크립터(File Descriptor)에 관한 설명으로 옳지 않은 것은?
45. Cryptography와 가장 관계 없는 것은?
46. 프로세스가 실행되면서 하나의 페이지를 일정시간 동안 집중적으로 액세스하는 현상은?
47. SJF(Shortest Job First) 스케줄링에서 다음과 같은 작업들이 준비상태 큐에 있을 때 평균 반환시간과 평균 대기시간은?
48. UNIX에서 파일 사용 권한 지정에 관한 명령어는?
49. 운영체제의 프로세스(Process)에 대한 설명으로 옳지 않은 것은?
50. 공유자원을 어느 시점에서 단지 한 개의 프로세스만이 사용할 수 있도록 하며, 다른 프로세스가 공유자원에 대하여 접근하지 못하게 제어하는 기법은?
51. 운영체제의 역할로 가장 옳지 않은 것은?
53. 150K의 작업요구시 first fit과 best fit 전략을 각각 적용할 경우, 할당 영역의 연결이 옳은 것은?
54. 다음 중 교착상태가 발생할 수 있는 필요충분조건은?
55. 기억장치의 고정 분할 할당에서 총 24K의 공간이 그림과 같이 8K, 8K, 4K, 4K로 나누어져 있고, 작업 큐에는 5K, 5K, 10K, 10K의 작업이 순차적으로 대기 중이라고 할 때 발생하는 전체 기억공간의 낭비를 계산하면?
56. 분산 처리 시스템에 대한 설명으로 옳지 않은 것은?
57. Microsoft의 Windows 운영체제의 특징이 아닌 것은?
58. 분산운영체제에 대한 설명을 모두 옳게 나열한 것은?
59. 전송크기가 1KB(kilo byte)일 때, 이동헤드디스크의 데이터 액세스 시간과 고정헤드의 데이터 액세스 시간(ms)을 구한 결과는?
60. 완전연결(Fully Connection)형 분산처리 시스템에 관한 설명으로 옳지 않은 것은?
4과목: 소프트웨어 공학
61. 소프트웨어 프로젝트 관리의 주요 구성 요소인 3P에 해당하지 않는 것은?
62. 소프트웨어 재공학의 주요 활동 중 역공학에 해당하는 것은?
63. 소프트웨어 프로젝트 측정에서 신뢰할만한 비용과 노력 측정을 달성하기 위한 선택사항이 아닌 것은?
64. 소프트웨어 위기를 가져온 원인으로 가장 옳지 않은 것은?
65. 객체 지향 개념 중 하나 이상의 유사한 객체들을 묶어 공통된 특성을 표현한 데이터 추상화를 의미하는 것은?
66. 객체들 간에 메시지를 주고받을 때 각 객체의 세부내용은 알 필요가 없으므로 인터페이스가 단순해지고 데이터와 데이터를 처리하는 함수를 하나로 묶는 것을 의미하는 것은?
67. 소프트웨어 재공학은 어떤 유지보수 측면에서 소프트웨어 위기를 해결하기 위한 방법인가?
68. 자료흐름도(DFD)의 작성 지침이라고 볼 수 없는 것은?
69. 소프트웨어 생명주기 모형 중 Spiral Model에 대한 설명으로 가장 옳지 않은 것은?
70. 소프트웨어 공학에 대한 설명으로 가장 옳지 않은 것은?
71. 구조적 분석에서 자료 사전(Data Dictionary)작성 시 고려할 사항으로 옳지 않은 것은?
72. 외계인코드(Alien Code)를 가장 잘 설명한 것은?
73. 다음 중 독립적인 모듈이 되기 위해서 가장 좋은 결합도 상태는?
74. 소프트웨어를 재사용함으로써 얻을 수 있는 이점으로 가장 거리가 먼 것은?
75. 소프트웨어 생명주기 모형에서 프로토타입 모형의 장점이 아닌 것은?
76. 럼바우의 객체 지향 분석에서 분석 활동의 모델링과 가장 관계없는 것은?
77. CASE가 제공하는 기능으로 거리가 먼 것은?
78. 자료흐름도(DFD)의 각 요소별 표기 형태의 연결이 옳지 않은 것은?
79. S/W 각 기능의 원시 코드 라인수의 비관치, 낙관치, 기대치를 측정하여 예측치를 구하고 이를 이용하여 비용을 산정하는 기법은?
80. 소프트웨어 품질 목표 중 사용자의 요구 기능을 충족시키는 정도를 의미하는 것은?
5과목: 데이터 통신
81. 자기 정정 부호의 하나로 비트 착오를 검출해서 1bit 착오를 정정하는 부호 방식은?
82. 패널 대역폭이 150kHz이고 S/N비가 15일 때 채널용량(kbps)은? (단, S : 신호, N : 잡음)
83. 동일한 네트워크에 있는 목적지 호스트로 IP패킷을 직접 전달할 수 있도록 IP 주소를 MAC 주소로 변환하는 프로토콜은?
84. OSI 7계층에서 TCP는 어떤 계층에 해당되는가?
85. 토큰링 방식에 사용되는 네트워크 표준안은?
86. QAM(Quadrature Amplitude Modulation)방식에서 4개의 위상과 2개의 진폭으로 구성되고 2400baud일 때 전송 속도(bps)는?
87. IPv6의 주소체계에 해당하지 않는 것은?
88. 최단 경로 탐색에는 Bellman-Ford 알고리즘을 사용하는 거리 벡터 라우팅 프로토콜은?
89. ARQ(Automatic Repeat reQuest) 기법 중 오류가 검출된 해당 블록만을 재전송하는 방식으로 재전송 블록 수가 적은 반면, 수신측에서 큰 버퍼와 복잡한 논리 회로를 요구하는 기법은?
90. PSK에서 반송파간의 위상차를 구하는 수식은? (단, M은 진수이다.)
91. 주파수 분할 다중화 방식(FDM)에서 Guard Band가 필요한 이유는?
92. X.25프로토콜의 3계층에 해당하지 않는 것은?
93. 최초의 라디오 패킷(radio packet) 통신방식을 적용한 컴퓨터 네트워크 시스템은?
94. 100 BASE T라고도 불리는 이더넷의 고속 버전으로 CSMA/CD 방식을 사용하며, 100Mbps의 전송 속도를 지원하는 이더넷은?
95. 하나의 정보를 여러 개의 반송파로 분할하고 분할된 반송파 사이의 주파수 간격을 최소화하기 위해 직교 다중화해서 전송하는 통신방식으로, 와이브로 및 디지털 멀티미디어 방송 등에 사용되는 기술은?
96. IP(Internet Protocol) 데이터그램 구조에 포함되지 않는 것은?
97. 양자화 비트수가 6비트이면 양자화 계단 수는?
98. OSI 7계층 데이터링크 계층의 프로토콜로 맞지 않는 것은?
99. HDL에서 피기백킹(Piggybacking) 기법을 사용하여 데이터에 대한 확인 응답을 보낼 때 사용하는 프레임은?
100. 실제 전송요구가 있는 채널에만 시간 슬롯을 동적으로 할당하여 전송 효율을 높이는 방식은?

"ERASE"와 "KILL"은 SQL에서 사용되지 않는 명령어이다. "DELETE"는 데이터를 삭제할 때 사용하는 명령어이지만, VIEW를 삭제할 때는 사용되지 않는다.
따라서, VIEW를 삭제할 때는 "DROP" 명령어를 사용한다. "DROP"은 데이터베이스 객체를 삭제할 때 사용되는 일반적인 명령어이다. VIEW도 데이터베이스 객체 중 하나이므로 "DROP"을 사용하여 삭제할 수 있다.