1과목: 데이터 베이스
1. 릴레이션에 포함되어 있는 튜플의 수는?
2. 다음 자료를 버블 정렬을 이용하여 오름차순으로 정렬할 경우 PASS 2의 수행 결과는?
3. 릴레이션의 R의 차수가 4이고 카디널리티가 5이며, 릴레이션의 S의 차수가 6이고 카디 널리티가 7일 때, 두 개의 릴레이션을 카티션 프로덕트한 결과의 새로운 릴레이션의 차수와 카디널리티는 얼마인가?
4. What are general configuration of indexed sequential file?
5. 데이터베이스 설계 시 물리적 설계 단계에서 수행하는 사항이 아닌 것은?
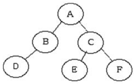
6. 다음 그림에서 트리의 차수(degree)는?
7. 릴레이션에서 기본 키를 구성하는 속성은 널(Null)값이나 중복 값을 가질 수 없다는 것을 의미하는 제약조건은?
8. 다음은 관계형 데이터베이스의 키(Key)를 설명하고 있다. 해당되는 키는?
9. “회사원”이라는 테이블에서 “사원명”을 검색할 때, “연락번호”가 Null 값이 아닌 “사원명”을 모두 찾을 경우의 SQL 질의로 옳은 것은?
10. 다음 SQL문의 실행결과를 가장 옳게 설명한 것은?
11. 병행제어의 목적으로 옳지 않은 것은?
12. 로킹 단위가 큰 경우에 대한 설명으로 옳은 것은?
13. SQL 구문에서 “having” 절은 반드시 어떤 구문과 사용되어야 하는가?
14. 데이터의 중복으로 인하여 관계연산을 처리할 때 예기치 못한 곤란한 현상이 발생하는 것을 무엇이라 하는가?
15. 정점이 5개인 방향 그래프가 가질 수 있는 최대 간선수는? (단, 자기간선과 중복간선은 배제한다.)
16. DBA가 사용자 Park에게 테이블A의 데이터를 갱신할 수 있는 시스템 권한을 부여하고자 하는 SQL문을 작성하고자 한다. 다음에 주어진 SQL문의 빈칸에 알맞게 채운 것은?
17. 다음 Postfix 연산식에 대한 연산결과로 옳은 것은?
18. 정규화 과정에서 A→B 이고 B→C 일 때 A→C 인 관계를 제거하는 단계는?
19. 다음 트리에 대한 INORDER 운행 결과는?
20. 관계대수에 대한 설명으로 옳지 않은 것은?
2과목: 전자 계산기 구조
21. 다중처리기를 사용하여 성능개선을 하고자 하는 것 중 주된 목표가 아닌 것은?
22. CPU에 의해 참조되는 각 주소는 가상주소를 주기억장치의 실제주소로 변환하여야 한다. 이것을 무엇이라 하는가?
23. 두 데이터의 비교(Compare)를 위한 논리연산은?
25. 2개 이상의 프로그램을 주기억장치에 기억시키고 CPU를 번갈아 사용하면서 처리하여 컴퓨터 시스템 자원 활용률을 극대화하기 위한 프로그래밍 기법은?
26. 수직적 마이크로명령어에 대한 설명으로 틀린 것은?
27. 입력단자가 하나이며, 1이 입력될 때마다 출력단자의 상태가 바뀌는 플립플롭의 종류는?
28. 컴퓨터 시스템에서 1-address machine, 2-address machine, 3-address machine으로 나눌 때 기준이 되는 것은?
29. 일반적인 제어 장치 모델에서 제어 장치로 입력되는 항목이 아닌 것은?
30. Interrupt cycle에 대한 마이크로 오퍼레이션(micro-operation) 중에서 가장 관계가 없는 것은?(단, MAR : Memory Address Register, PC : Program Counter, M : memory, MBR : Memory Buffer Register, IEN : Interrupt Enable 이며, Interrupt Handler는 0 번지에 저장 되어있다고 가정한다.)
31. 4x2 RAM을 이용하여 16x4 메모리를 구성하고자 할 경우에 필요한 4x2 RAM의 수는?
32. 캐시의 라인 교체 정책 가운데, 최근에 가장 적게 사용된 라인부터 교체하는 정책은? (문제 오류로 실제 시험에서는 1, 3번이 정답처리 되었습니다. 여기서는 1번을 누르면 정답 처리 됩니다.)
33. 10진수 –14를 2의 보수 표현법을 이용하여 8비트 레지스터에 저장하였을 때, 이를 오른쪽으로 1비트 산술 시프트 했을 때의 결과는?
34. 다음은 DMA의 데이터 전송 절차를 나열한 것이다. 순서를 가장 옳게 나열한 것은?
35. 병렬컴퓨터에서 처리요소의 성능을 측정하는데 사용되는 단위는?
36. 다음 중 누산기에 대한 설명으로 가장 옳은 것은?
37. 다음 중 비교적 속도가 빠른 자기디스크에 연결하는 채널은?
38. ASCⅡ 코드의 비트구성은 존(zone)비트와 수(digit)비트로 구분된다. 존(zone)비트는 몇 비트인가?
39. 프로그램에 의해 제어되는 동작이 아닌 것은?
40. 다음 중 프로그램 카운터(PC)에 대한 설명으로 가장 옳은 것은?
3과목: 운영체제
41. 가상기억장치 구현 기법에 대한 설명으로 가장 옳지 않은 것은?
42. HRN방식으로 스케줄링 할 경우, 입력된 작업이 다음<표>와 같을 때 우선순위가 가장 높은 것은?
43. PCB를 갖고 있으며, 현재 실행 중 이거나 곧 실행 가능하며, CPU를 할당받을 수 있는 프로그램으로 정의할 수 있는 것은?
44. 매크로 프로세서가 수행해야 하는 기본적인 기능에 해당하지 않는 것은?
45. FIFO 스케줄링에서 3개의 작업 도착시간과 CPU 사용시간(burst time)이 다음 표와 같다. 이때 모든 작업들의 평균 반환시간(turn around time)은 약 얼마인가?(단, 소수점 이하는 반올림 처리한다.)
46. 운영체제의 성능을 판단 할 수 있는 요소로 가장 거리가 먼 것은?
47. 일반적으로 사용되는 자원 보호 기법의 종류에 해당하지 않는 것은?
48. 비행기 제어, 교통 제어, 레이더 추적 등 정해진 시간에 반드시 수행되어야 하는 작업들이 존재할 때, 가장 적합한 처리방식은?
49. 비선점(Non-Preemptive) 스케줄링에 해당하지 않는 것은?
50. 프로세서의 상호 연결 구조 중 하이퍼 큐브 구조에서 각 CPU가 3개의 연결점을 가질 경우 총 CPU의 개수는?
51. 해싱 등의 사상 함수를 사용하여 레코드 키(Record Key)에 의한 주소 계산을 통해 레코드를 접근할 수 있도록 구성한 파일은?
52. 3개의 페이지 프레임(Frame)을 가진 기억장치에서 페이지 요청을 다음과 같은 페이지 번호 순으로 요청했을 때 교체 알고리즘으로 FIFO 방법을 사용한다면 몇 번의 페이지 부재(Fault)가 발생하는가? (단, 현재 기억장치는 모두 비어 있다고 가정한다.)
53. 운영체제에서 커널의 기능이 아닌 것은?
54. 시스템 소프트웨어와 그 기능에 대한 설명으로 가장 옳지 않은 것은?
55. 중앙 컴퓨터와 직접 연결되어 응답이 빠르고 통신 비용이 적게 소요되지만, 중앙 컴퓨터에 장애가 발생되면 전체 시스템이 마비되는 분산 시스템의 위상 구조는?
56. SJF(Shortest-Job-First) 스케줄링 방법에 대한 설명으로 가장 거리가 먼 것은?
57. 유닉스의 i-node 에 포함되는 정보가 아닌 것은?
58. UNIX시스템의 특징으로 가장 옳지 않은 것은?
59. 교착상태와 은행원 알고리즘의 불안전상태(Unsafe State)에 대한 설명으로 가장 옳은 것은?
60. 운영체제를 기능상 분류했을 때, 제어 프로그램 중 다음 설명에 해당하는 것은?
4과목: 소프트웨어 공학
61. HIPO(Hierarchy Input Process Output)에 대한 설명으로 가장 옳지 않은 것은?
62. 하향식 통합 검사(test)에 대한 설명으로 가장 옳지 않은 것은?
63. 소프트웨어 품질 목표 중 쉽게 배우고 사용할 수 있는 정도를 의미하는 개념으로 가장 타당한 것은?
64. 럼바우(Rumbaugh)의 객체지향 분석 절차를 가장 바르게 나열한 것은?
65. NS(Nassi-Schneiderman) chart에 대한 설명으로 가장 거리가 먼 것은?
66. 객체지향 분석에 대한 설명으로 가장 옳지 않은 것은?
67. 바람직한 소프트웨어 설계 지침이 아닌 것은?
68. 소프트웨어 수명주기 모형 중 폭포수 모형에 대한 설명으로 가장 옳지 않은 것은?
69. 중앙집중형팀(책임프로그래머팀)의 특징으로 가장 거리가 먼 것은?
70. 다음 검사의 기법 중 종류가 다른 하나는 무엇인가?
71. 객체 지향 기법에서 하나 이상의 유사한 객체들을 묶어서 하나의 공통된 특성을 표현한 것을 무엇이라고 하는가?
72. 객체지향 모형에서 기능 모형(Functional model)의 설계 순서로 가장 옳은 것은?
73. 비용 예측을 위한 기능 점수 방법에 대한 설명 중 가장 옳지 않은 것은?
74. 자료 사전에서 자료의 반복을 의미하는 것은?
75. CPM(Critical Path Method) 네트워크에 대한 설명으로 가장 타당하지 않은 것은?
76. 소프트웨어 재사용을 통한 장점이 아닌 것은?
77. 블랙박스 검사 기법에 해당하는 것으로만 나열한 것은?
78. CASE 도구의 정보저장소(Repository)에 대한 설명으로 가장 거리가 먼 것은?
79. 정형 기술 검토(FTR)의 지침 사항으로 가장 옳지 않은 것은?
80. 객체에 대한 설명으로 가장 옳지 않은 것은?
5과목: 데이터 통신
81. 맨체스터(Manchester) 코딩 방식에 대한 설명으로 옳은 것은?
82. HDLC(High-level Data Link Control)의 링크 구성 방식에 따른 세 가지 동작모드에 해당하지 않은 것은?
83. 변조속도가 1500[baud]이며 트리비트를 사용하는 경우 전송속도(bps)는?
84. Go-Back-N ARQ에서 7번째 프레임까지 전송하였는데 수신측에서 6번째 프레임에 오류가 있다고 재전송을 요청해 왔다. 재전송되는 프레임의 개수는?
85. IPv6에 대한 설명으로 틀린 것은?
86. 패킷 교환망에 접속되는 단말기 중 비패킷형 단말기(Non-Packet Mode Terminal)에서 패킷의 조립·분해 기능을 제공해 주는 일종의 어댑터는?
87. 부정적 응답에 해당하는 전송제어 문자는?
88. LAN의 방식 중 “10Base-T”의 10 이 의미하는 것은?
89. IP(Internet Protocol) 프로토콜에 대한 설명으로 틀린 것은?
90. 통신 프로토콜의 기본적인 요소가 아닌 것은?
91. 라우팅 프로토콜인 OSPF(Open Shortest Path First)에 대한 설명으로 옳지 않은 것은?
92. 데이터 전달을 위한 회선 제어 절차의 단계를 순서대로 나열한 것은?
93. 실제 전송할 데이터를 갖고 있는 터미널에게만 시간슬롯(Time Slot)을 할당하는 다중화 방식은?
94. QPSK 변조방식의 대역폭 효율은 몇 [bps/Hz]인가?
95. TCP/IP 프로토콜에서 TCP가 해당하는 계층은?
96. RIP(Routing Information Protocol)에 대한 설명으로 틀린 것은?
97. OSI 참조모델에서 전이중방식이나 반이중방식으로 종단 시스템의 응용 간 대화(dialog)를 관리하는 계층은?
98. 채널용량이 100Kbps이고 채널 대역폭이 10KHz일 때 신호대잡음비(db)는?
99. IEEE 802.3 LAN에서 사용되는 전송매체 접속제어(MAC) 방식은?
100. 패킷교환 방식에 대한 설명으로 틀린 것은?


z + y z
z + y 
+ y z