1과목: 데이터 베이스
1. 다음 설명 중 릴레이션의 특징으로 옳은 내용 모두를 나열한 것은?
2. 데이터베이스의 정의 중 다음 설명과 관계되는 것은?
3. 다음 SQL 명령 중 DDL에 해당하는 것으로만 나열된 것은?
4. 분산 데이터베이스 시스템의 특징과 거리가 먼 것은?
5. 병행제어 기법 중 로킹에 대한 설명으로 옳지 않은 것은?
6. 순서가 A, B, C, D 로 정해진 입력 자료를 스택에 입력하였다가 출력한 결과로 가능한 것이 아닌 것은?
7. 릴레이션에서 튜플을 유일하게 구별하기 위해 사용하는 속성 또는 속성들의 조합을 의미하는 키(Key)는?
8. 하나의 트랜잭션 실행 중에 다른 트랜잭션의 연산이 끼어들 수 없음을 의미하는 트랜잭션의 특징은?
9. 다음 자료에 대하여 선택(Selection)정렬을 이용하여 오름차순으로 정렬하고자 한다. 2회전 후의 결과는?
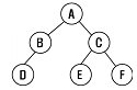
10. 다음 트리를 후위 순회(Post Traversal)한 결과는?
11. 관계대수 및 관계해석에 대한 설명으로 틀린 것은?
12. 순차파일에 대한 설명으로 옳지 않은 것은?
13. 정규형에 대한 설명으로 옳지 않은 것은?
14. 데이터 모델의 구성 요소 중 데이터베이스에 표현된 개체 인스턴스를 처리하는 작업에 대한 명세로서 데이터베이스를 조작하는 기본 도구를 의미하는 것은?
15. 데이터베이스의 특성 중 다음 설명에 해당하는 것은?
16. 시스템 카탈로그에 대한 설명으로 옳지 않은 것은?
17. 다음 중 데이터베이스 설계시 물리적 설계 단계의 수행과정으로 옳은 내용 모두를 나열한 것은?
18. 다음 설명이 의미하는 것은?
19. 다음 설명이 뜻하는 것은?
20. DBMS의 필수 기능 중 데이터베이스를 접근하여 데이터의 검색, 삽입, 삭제, 갱신 등의 연산 작업을 위한 사용자와 데이터베이스 사이의 인터페이스 수단을 제공하는 기능은?
2과목: 전자 계산기 구조
21. 채널은 연결 형태에 따라 고정채널과 가변채널로 구분하고, 정보의 취급 방법에 따라 멀티플렉서 모드와 버스트 모드로 구분하여 입출력 장치의 성질에 따라 셀렉터 채널과 바이트 멀티플렉서 채널, 블록 멀티플렉서 채널로 구분한다. 이러한 채널에 대한 설명으로 옳은 것은?
22. 사이클 훔침(cycle stealing)에 관한 설명 중 틀린 것은?
23. memory buffer에 대한 설명으로 올바른 것은?
24. 논리식 함수
의 보수를 구한 결과식으로 옳은 것은?


25. 다음 RS 플립플롭의 진리표 중에서 잘못된 것은?

26. 다음 기억공간 관리 중 고정 분할 할당과 동적 분할 할당으로 나누어 관리되는 기법은?
27. RAID-5는 RAID-4의 어떤 문제점을 보완하기 위하여 개발되었는가?
28. interleaved memory에 대한 설명과 관계가 없는 것은?
29. 벡터 처리기에서 사용할 수 있는 알고리즘으로 가장 적합한 것은?
30. 명령어가 오퍼레이션 코드(OP code) 6비트, 어드레스 필드 16비트로 되어 있다. 이 명령어를 쓰는 컴퓨터의 최대 메모리 용량은?
31. 데이터의 주소를 표현하는 방식에 따라 분류할 때 계산에 의한 주소는 어디에 해당하는가?
32. 다음은 정규화된 부동소수점(floating point)방식으로 표현된 두 수의 덧셈 과정이다. 다음 중 그 순서가 바르게 나열된 것은? (단, A : 정규화, B : 지수의 비교, C : 가수의 정렬, D : 가수의 덧셈)
33. 밀 결합시스템(tightly-coupled system)에서는 프로세서들 간의 통신이 주로 무엇을 통해 이루어지는가?
34. 병렬 컴퓨터 구조를 설명한 내용으로 가장 옳지 않은 것은?
35. 마이크로 오퍼레이션에 대한 설명 중 옳지 않은 것은?
36. shift 명령을 수행한 후 빈 공간에 채워지는 내용이 다른 것은?
37. CPU내 레지스터들과 주기억장치에 다음과 같이 저장되어 있다. 간접주소지정방식을 사용하는 명령어의 주소필드에 저장된 내용이 172일 때, 유효주소와 그에 의해 인출되는 데이터는 ?
38. Flynn의 컴퓨터구조 분류 방식 중 일반적으로 배열처리기 구조라고도 하며, 여러 개의 처리기가 한 개의 제어 처리기에 의해 제어되는 구조를 갖고 있는 것은?
39. 메모리에서 두 개의 데이터를 가져와서 연산하고 결과를 다시 메모리에 저장한다고 하자. 이 때 메모리에 한번 접근하는데 1사이클, 연산하는데 1사이클 소요되고, 각각 4클록씩 걸린다면 10MHz의 CPU에서 이 작업은 전부 몇 초가 걸리는가?
40. 동기 가변식 마이크로 오퍼레이션 사이클 타임을 정의하는 방식은 수행시간이 유사한 마이크로 오퍼레이션들끼리 모아 집합을 이루고 각 집합에 대해서 서로 다른 마이크로 오퍼레이션 사이클 타임을 정의한다. 이 때 각 집합간의 마이크로사이클 타임을 정수배가 되도록 하는 이유는?
3과목: 운영체제
41. 다음 상호배제 기법 중 특수한 하드웨어 자원이 필요한 것은?
42. 다음의 운영체제 운용 기법 중 라운드 로빈(Round Robin)방식과 가장 관계되는 것은?
43. UNIX에서 사용자 인터페이스를 제공하며, 명령어 해석기라고도 일컬어지는 것은?
44. 세그먼테이션 기법에 대한 설명으로 옳지 않은 것은?
45. 다음 설명에 해당하는 자원 보호 기법은?
46. UNIX 파일시스템 구조에서 데이터가 저장된 블록의 시작 주소를 확인할 수 있는 블록은?
47. 다중 처리기 운영체제 구조 중 주/종(Master/Slave)처리기 시스템에 대한 설명으로 옳지 않은 것은?
48. 마스터 파일 디렉토리와 각 사용자별로 만들어지는 사용자 파일 디렉토리로 구성되는 디렉토리 구조는?
49. 주기억장치 관리기법인 최악, 최초, 최적 적합기법을 각각 사용할 때, 각 방법에 대하여 5K의 프로그램이 할당되는 영역을 각 기법의 순서대로 옳게 나열한 것은? (단, 영역 A, B, C, D는 모두 비어 있다고 가정한다.)
50. 페이지 프레임 수가 많으면 페이지 부재의 수가 줄어드는 것이 일반적이지만, 더 많은 수의 페이지 프레임을 할당하더라도 페이지 부재가 더 많이 발생하는 현상과 가장 관계되는 페이지 교체 알고리즘은?
51. 스풀링(SPOOLing)에 대한 설명으로 틀린 것은?
52. 운영체제의 목적이 아닌 것은?
53. 시간 구역성(Temporal Locality)과 거리가 먼 것은?
54. 분산 운영체제 구조 중 다음의 특징을 갖는 것은?
55. HRN방식으로 스케줄링 할 경우, 입력된 작업이 다음과같을 때 우선순위가 가장 높은 것은?
56. 128개의 CPU로 구성된 하이퍼큐브에서 각 CPU는 몇 개의 연결점을 갖는가?
57. 파일 시스템에 대한 설명으로 틀린 것은?
58. 프로세서 제어 블록을 갖고 있으며, 현재 실행 중 이거나 곧 실행 가능하며, CPU를 할당받을 수 있는 프로그램으로 정의할 수 있는 것은?
59. 교착상태의 해결 방법 중 점유 및 대기 부정, 비선점 부정, 환형대기 부정 등은 어떤 기법에 해당하는가?
60. UNIX 운영체제의 특징이 아닌 것은?
4과목: 소프트웨어 공학
61. 캡슐화에 대한 설명으로 틀린 것은?
62. 어떤 모듈이 다른 모듈의 내부 논리 조작을 제어하기 위한 목적으로 제어신호를 이용하여 통신하는 경우이며, 하위 모듈에서 상위 모듈로 제어신호가 이동하여 상위 모듈에게 처리 명령을 부여하는 권리 전도현상이 발생하게 되는 결합도는?
63. 효과적인 프로젝트 관리를 위한 3P를 옳게 나열한 것은?
64. 소프트웨어에 대한 변경을 관리하기 위해 개발된 일련의 활동을 나타내며, 이런 변경에 의해 전체 비용이 최소화되고 최소한의 방해가 소프트웨어의 현 사용자에게 야기되도록 보증하는 것을 목적으로 하는 것은?
65. 소프트웨어 재공학 활동 중 원시 코드를 분석하여 소프트웨어 관계를 파악하고 기존 시스템의 설계 정보를 재발견하고 다시 제작하는 작업은?
66. 장래의 유지보수성 또는 신뢰성을 개선하거나 소프트웨어의 오류발생에 대비하여 미리 예방 수단을 강구해 두는 경우의 유지보수 형태는?
67. FTR의 지침 사항으로 거리가 먼 것은?
68. 자료 흐름도에 대한 설명으로 틀린 것은?
69. 블랙 박스 테스트 기법 중 다음 설명에 해당하는 것은?
70. 간트 차트에 대한 설명으로 틀린 것은?
71. 소프트웨어 개발 영역을 결정하는 요인 중 다음 사항과 관계되는 것은?
72. 다음의 객체지향 기법에 관한 설명에서 ( )안 내용으로 공통 적용될 수 있는 것은?
73. 럼바우의 객체지향 분석 기법에서 자료 흐름도와 가장 관련이 큰 것은?
74. 소프트웨어 위기 발생 요인과 거리가 먼 것은?
75. 소프트웨어의 특징에 대한 설명으로 옳지 않은 것은?
76. 소프트웨어 재사용의 이점에 해당하지 않는 것은?
77. 소프트웨어 품질 목표 중 쉽게 배우고 쉽게 사용할 수 있는 정도를 의미하는 것은?
78. CASE에 대한 설명으로 틀린 것은?
79. 다음 검사 중 알파검사, 베타검사와 가장 관계가 있는 것은?
80. 상향식 통합 검사에 대한 설명으로 틀린 것은?
5과목: 데이터 통신
81. 데이터(Data) 전송제어 절차를 순서대로 옳게 나열한 것은?
82. 다음이 설명하고 있는 데이터 교환 방식은?
83. 실제 전송할 데이터를 갖고 있는 터미널에게만 시간슬롯(Time Slot)을 할당하는 다중화 방식은?
84. IPv4와 IPv6의 패킷 헤더의 비교 설명으로 틀린 것은?
85. PSK(Phase Shift Keying)방식이 적용되지 않은 변조 방식은?
86. 다음 네트워크 A와 B사이에서 인터네트워킹을 위한 브리지(Bridge)의 일반적 기능으로 옳지 않은 것은?
87. OSI 7 layer의 계층별 기능으로 틀린 것은?
88. 인터-네트워킹(Inter-Networking)을 위해 사용되는 네트워크 장비와 가장 거리가 먼 것은?
89. 다음이 설명하고 있는 ARQ 방식으로 옳은 것은?
90. 다음이 설명하고 있는 디지털 신호 부호화 방식은?
91. OSI 7계층 중 데이터 링크 계층의 프로토콜은?
92. 매체 접근 제어 방식 중 CSMA/CD와 토큰 패싱(Token passing)에 대한 설명으로 틀린 것은?
93. 회선교환 방식에 대한 설명으로 틀린 것은?
94. 이동 단말이나 PDA와 같이 소형 무선 단말기 상에서 인터넷을 이용할 수 있도록 해주는 프로토콜의 총칭은?
95. HDLC(High-level Data Link Control)의 링크 구성 방식에 따른 세 가지 동작모드에 해당하지 않는 것은?
96. 다음이 설명하고 있는 인터넷 서비스는?
97. X.25 프로토콜에 대한 설명으로 옳은 것은?
98. 블록(block) 단위로 데이터를 전송하는 방식은?
99. PCM(Pulse Code Modulation) 방식에서 PAM(Pulse Amplitude Modulation)신호를 얻는 과정은?
100. 문자 동기 전송방식에서 데이터 투과성(Data Transparent)을 위해 삽입되는 제어문자는?
② 릴레이션은 각 행마다 유일한 식별자(primary key)를 가진다.
③ 릴레이션은 각 열마다 동일한 데이터 타입을 가진다.
④ 릴레이션은 행과 열의 순서가 중요하지 않다.
따라서, 옳은 정답은 "①, ②, ③, ④" 이다.