1과목: 데이터 베이스
1. 관계 데이터베이스에서 릴레이션을 구성하고 있는 각각의 속성(attribute)에서 취할 수 있는 값들의 집합을 무엇이라 하는가?
2. VSAM 파일에 대한 설명으로 거리가 먼 것은?
3. 시스템 카탈로그에 대한 설명으로 옳지 않은 것은?
4. 개체-관계(E-R) 다이어그램에서 개체를 표시하는 것은?




5. B-트리가 가지는 성질이 아닌 것은?
6. 다음과 같이 어떤 릴레이션 R과 그 릴레이션에 존재하는 종속성이 주어졌을 때 릴레이션 R은 몇 정규형인가?
7. 다음 표와 같은 판매실적 테이블을 읽어 서울지역에 한하여 판매액 내림차순으로 지점명과 판매액을 출력하고자 한다. 가장 적절한 SQL구문은?
8. 다음 릴레이션 R1과 R2에 대해 아래의 SQL 문을 실행한 결과는?
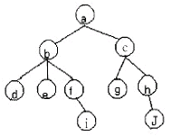
9. 다음 Tree의 Degree와 터미널 노드의 수는?
10. 관계 데이터 언어(Data Language) 중에서 데이터의 보안, 무결성, 회복과 밀접한 관련이 있는 것은?
11. 관계형 데이터베이스의 뷰(view)에 대한 설명으로 틀린 것은?
12. 데이터베이스 관리 시스템의 기능과 그에 대한 설명이 옳게 연결된 것은?
13. 분산 데이터베이스의 불법적인 접근을 차단하기 위하여 데이터 암호화가 필요하다. DES 알고리즘에서는 평문을 ( ① ) 비트로 블록화를 하고 실제 키의 길이는 ( ② )비트를 이용한다. 괄호의 내용으로 옳은 것은?
14. 다음과 같이 주어진 후위표기방식의 수식을 중위표기방식으로 나타낸 것은?
15. 다음은 무엇에 대한 설명인가?
16. 데이터베이스의 설계 단계 순서가 옳은 것은?
17. 트랜잭션(transaction)의 특성으로 옳지 않은 것은?
18. 다음의 빈칸에 적합한 단어는?
19. 트랜잭션의 병행제어 목적이 아닌 것은?
20. 다음은 무엇에 대한 설명인가?
2과목: 전자 계산기 구조
21. 10진수 956에 대한 BCD 코드는?
22. stack이 갖는 주소지정 방식은?
23. 다음과 같은 마이크로 오퍼레이션이 일어나는 상태는?
24. JK 플립플롭에서 Jn=1, Kn=0일 때 Qn+1의 출력 상태는?
25. 다음 인터럽트 중 최우선권이 주어져야 하는 경우는?
26. 캐시(cache) 기억장치 설명 중 옳은 것은?
27. 간접 주소(indirect addressing) 방식을 설명한 것은?
28. 인쇄 장치 중에서 인쇄되는 문자가 보통 활자체로 되지 않고 점에 의해 나타나는 인쇄기는?
29. 명령어의 연산자 코드가 8비트, 오퍼랜드(operand)가 10비트 일 때 이 명령어로 몇 가지 연산을 수행하게 할 수 있는가?
30. 기억장치를 각 모듈이 번갈아 가며 접근하는 방법은?
31. B 레지스터의 내용을 P 제어 신호에 따라 A 레지스터에 기억하기 위한 회로는?




32. 타이머(Timer)에 의한 인터럽트(Interrupt)는?
33. 어느 컴퓨터의 기억 용량이 1M byte이다. 이 때 필요한 주소선의 수는?
34. 자료를 입출력 할 때 가장 효과적인 방법은?
35. 다음번의 명령어가 현재의 프로그램 카운터(PC)를 기준으로 하여 어느 번지에 있음을 나타내는 주소지정 방식은?
36. 컴퓨터에서 사용하는 명령어를 기능별로 분류할 때 동일한 분류에 포함되지 않는 것은?
37. 2진수 0011의 2의 보수(2'S complement)는?
38. 인터럽트를 발생하는 모든장치들을 인터럽트의 우선순위에 따라 직렬로 연결함으로써 이루어지는 우선순위 인터럽트 처리방법은?
39. 인터럽트 요청 판별방법에 관한 내용 중 옳지 않은 것은?
40. 인터럽트 벡터에 필수적인 것은?
3과목: 운영체제
41. 현재 헤드의 위치가 50에 있고, 요청 대기 열에는 다음과 같은 순서로 들어 있다고 가정할 때, C-SCAN(Circular-scan) 스케줄링 알고리즘에 의한 헤드의 총 이동거리는 얼마인가?
42. 유닉스 시스템에서 프로세스 관리, 입/출력 관리, 기억장치 관리 등의 기능을 수행하는 것은?
43. 페이징 기법과 관련된 설명으로 옳지 않은 것은?
44. UNIX에서 각 파일에 대한 정보를 기억하고 있는 자료구조로서 파일 소유자의 식별번호, 파일 크기, 파일의 최종 수정시간, 파일링 크수 등의 내용을 가지고 있는 것은?
45. 직접 파일(direct file)에 대한 설명으로 거리가 먼 것은?
46. HRN(Highest Response-ratio Next) 방식으로 스케줄링할 경우, 입력된 작업이 다음과 같을 때 우선순위가 가장 높은 작업은?
47. 프로그램 검사 인터럽트가 발생되는 이유로 적합하지 않은 것은?
48. 운영체제의 발달과정 순서를 옳게 나열한 것은?
49. 운영체제에 대한 설명으로 옳지 않은 것은?
50. 중앙처리장치와 입/출력장치가 동시에 주기억장치를 접근하려고 하는 경우, 입/출력장치에 우선순위를 부여하여 주기억장치를 액세스하는 동안, 중앙처리장치에서 주기억장치에 대한 접근 작업을 양보하도록 하는 기법은?
51. 파일 보호 기법 중 각 파일에 접근 목록을 두어 접근 가능한 사용자와 가능한 동작을 기록한 후, 이를 근거로 접근을 허용하는 기법은?
52. 파일 디스크립터의 내용으로 옳지 않은 것은?
53. 분산 시스템의 설계 목적으로 적합하지 않은 것은?
54. 다중 프로그래밍 시스템에서 운영체제에 의해 중앙처리장치가 할당되는 프로세스를 변경하기 위하여 현재 중앙처리장치를 사용하여 실행되고 있는 프로세스의 상태 정보를 저장하고, 앞으로 실행될 프로세스의 상태 정보를 설정한 다음에 중앙처리장치를 할당하여 실행이 되도록 하는 작업을 의미하는 것은?
55. 버퍼링(buffering)에 대한 설명 중 틀린 것은?
56. UNIX 운영체제의 특징으로 볼 수 없는 것은?
57. 탐색 거리(seek distance)가 가장 짧은 요청이 먼저 서비스를 받는 디스크 스케줄링 기법으로 처리량이 주안점인 일괄처리에는 유용하나 응답시간의 편차가 크기 때문에 대화형 시스템에서는 부적합한 것은?
58. 분산 운영체제의 구조 중 완전 연결(Fully Connection)에 대한 설명으로 옳지 않은 것은?
59. 모니터에 대한 설명으로 틀린 것은?(오류 신고가 접수된 문제입니다. 반드시 정답과 해설을 확인하시기 바랍니다.)
60. 프로세스 스케줄링 기법 중 Round-Robin 기법에 대한 설명으로 옳지 않은 것은?
4과목: 소프트웨어 공학
61. 비용예측방법에서 원시 프로그램의 규모에 의한 방법(COCOMO model)중 최대형 규모의 트랜잭션 처리시스템이나 운영체제 등의 소프트웨어를 개발하는 유형은?
62. 다음 설명에 해당되는 것은?
63. 소프트웨어 유지보수에 관련된 설명으로 옳지 않은 것은?
64. 데이터 설계에 있어서 응집력의 의미로 가장 적절한 것은?
65. 시스템 구성요소에 해당되지 않는 것은?
66. 모듈의 구성 요소가 하나의 활동으로부터 나온 출력 자료를 그 다음 활동의 입력 자료로 사용하는 같은 모듈 내에서의 응집의 정도를 나타내는 것은?
67. CASE 에 관한 설명으로 옳지 않은 것은?
68. 소프트웨어 프로젝트 계획 수립시 소프트웨어 영역 결정 사항에 기술되어야 할 주요 사항이 아닌 것은?
69. 브룩스(Brooks) 법칙의 의미로 가장 적절한 것은?
70. 다음 중 결합도(Coupling)가 가장 낮은 것은?
71. 블랙박스 검사에 해당하지 않는 것은?
72. 폭포수 모형에 대한 설명으로 옳지 않은 것은?
73. 하향식 통합에 있어서 모듈간의 통합시험을 하기 위해 일시적으로 필요한 조건만을 가지고 임시로 제공되는 시험용 모듈을 무엇이라고 하는가?
74. Boehm 이 제안한 나선형 모델의 태스크(task)에 해당되지 않는 것은?
75. 객체지향 기법에서 메타클래스(meta class)는 클래스 계층 트리의 어디에 위치하는가?
76. 소프트웨어 컴포넌트(Component) 재사용의 이점이라고 볼 수 없는 항목은?
77. 다음은 소프트웨어 설계 모형의 구조도이다. (a)(b)(c)(d)에 들어갈 항목을 순서대로 나열한 것은?
78. 위험 모니터링(monitoring)의 의미로 가장 적절한 것은?
79. UML에서 use case diagram에 속하는 내용이 아닌 것은?
80. 자료흐름도의 구성 요소와 표시 기호의 연결이 옳지 않은 것은?
5과목: 데이터 통신
81. LAN의 매체 접근 방법에 따른 분류로 옳지 않은 것은?
82. 흐름 제어방식에서 한 번에 여러 개의 프레임을 전송할 경우 효율적인 기법은?
83. 지능 다중화기에 대한 설명으로 옳지 않은 것은?
84. 정보의 전송제어 절차의 단계를 올바르게 나타낸 것은?
85. 누화(Crosstalk) 및 상호변조잡음(Intermodulation noise)과 관계있는 멀티플렉싱은?
86. 정보를 0과 1로 표시하고, 이것을 직류의 전기 신호로 전송하는 것은?
87. 전송 오류 제어 방식에서 오류 제어용 코드 부가 방식이 아닌 것은?
88. LAN의 CSMA/CD 방식에서 운용상의 특징으로 옳은 것은?
89. 수신 스테이션은 비트 에러나 프레임의 손실을 검사하게 되고, 에러가 검출되면 자동적으로 송신 스테이션에게 재전송을 요청하는 자동 재전송 요청(Automatic Repeat reQuest)을 하게 되는데, 다음 중 ARQ 방식이 아닌 것은?
90. 회선교환 방식에서 제어 신호의 종류가 아닌 것은?
91. 25개의 구간을 망형으로 연결하면 필요한 회선의 수는 몇 회선인가?
92. 데이터 전송 속도의 척도를 나타내는 것이 아닌 것은?
93. 서로 다른 주파수들이 똑같은 전송 매체를 공유할 때 이 주파수들이 서로의 합과 차의 신호를 발생함으로써 발생되는 잡음을 무엇이라 하는가?
94. 다음에서 세션 계층의 설명으로 옳지 않은 것은?
95. 적절한 전송 경로를 선택하고 이 경로로 데이터를 전달하는 인터네트워킹(internetworking) 장비는?
96. 다음의 라우팅 프로토콜 중에서 여러 자율 시스템 간에 라우팅 정보를 교환하는 라우팅 프로토콜은?
97. VAN이 제공하는 4가지 기능의 큰 분류에 속하지 않는 것은?
98. 여러 단말기가 같은 장소에 위치하는 경우, 다중화 기능을 이용하여 전송로의 수를 감소시키기 위해 사용하는 장비는?
99. 인터넷 프로토콜 아키텍처를 구성하는 4 계층이 아닌 것은?
100. 종점 간에 오류 수정과 흐름 제어를 수행하여 신뢰성 있고 투명한 데이터 전송을 제공하는 것은 OSI 7계층 중 어느 계층인가?